Özet
Arkaplan: Akut ve uzun-süreli anaflaksi yönetiminin kalitesi değişkendir ve bu durum hastaların çoğunun karşılaştığı kötü sonuçlara katkıda bulunmaktadır. Klinik uygulama kılavuzları, sonuçları iyileştirme potansiyeline sahiptir, ancak rutin uygulamalarda kılavuz önerilerin uygulanması zorlayıcıdır. Kalite göstergeleri, kılavuz uygulama çabalarını destekleme potansiyeline sahiptir.
Amaç: Akut ve uzun-süreli anafilaksi tedavisini desteklemek için kalite göstergelerini belirlemek.
Yöntemler: 1 Ocak 2005-31 Aralık 2015 döneminde yayınlanan hakem-incelemesinden geçmiş basılan makalelerin bulunduğu literatürü, Medline, EMBASE ve CINAHL veri tabanlarını araştırarak sistematik bir şekilde inceledik. Buna ek olarak Google'da gri ve yayınlanmamış literatürü de araştırdık. Tanımlanan göstergeler açıklayıcı olarak en yeni uluslararası anafilaksi kılavuzlarına göre özetlenmiş (yani Avrupa Alerji ve Klinik İmmünoloji Akademisi tarafından üretilen kılavuzlar) ve Sağlık Hizmetleri Araştırması ve Kalite Ajansı kriterleri, gösterge geliştirme kriterleri kullanılarak değerlendirilmiştir.
Bulgular: Araştırmalarımız tespit ettiğimiz 830 yayını meydana çıkartmıştır, bunlardan hem akut (n=27) hem de uzun-süreli (n=27) anafilaksi yönetimine yönelik 54 gösterge için 5 kaynağı belirlenmiştir. Göstergelerin çoğunluğu, uzman görüşleri yoluyla geliştirildi ve bunların nispeten daha az bir miktarı, formal olarak pilot uygulamaya geçirilmiş veya uygulamadaki değişiklikler arasında ayrım yapabileceklerini göstermek için ve/veya değişikliklere karşı duyarlı olduklarını göstermek için test edilmiştir.
Sonuçlar: Anafilaksi yönetimi için kapsamlı bir kalite göstergesi setine ihtiyaç bulunmaktadır. Bununla birlikte, akut ve uzun-süreli anafilaksi yönetimi için, kılavuz ilkelerinin klinik bakıma dönüştürülmesine yönelik nispeten daha az ek çalışma desteği çabalarıyla gösterilebilecek bazı göstergeler tespit edilmiştir.
Anahtar Kelimeler: Alerji, Anafilaksi, Kılavuz İlkeler, Uygulama araştırması, Göstergeler, Sonuçlar, Bakım Kalitesi, Standartlar
Arka plan
Anafilaksi, önemli oranda morbiditeden ve bazı durumlarda da mortaliteden sorumlu olan "ciddi, hayatı-tehdit eden, yaygın veya sistemik bir aşırı duyarlılık reaksiyonudur" [1, 2]. Anafilaksi yaşayan ve/veya anafilaksi öyküsü olan hastalar için acil durum ve devam eden bakım kalitesi değişkendir ve bu durum, görülen kötü sonuçlara neden olmaktadır (örneğin tekrarlayan anafilaksi atakları yüksek riskine) [3].
Bakım standardizasyonu ve sonuçların iyileştirilmesi amacıyla, birçok hükümet ve profesyonel meslek organları klinik uygulama kılavuzlarını geliştirmiştir [4-7]. Bu kılavuzlar, klinik bakım için ön-saftaki klinisyenler için basit, özlü, kanıta-dayalı öneriler sunmayı amaçlamaktadır. Şüphesiz ki hoş karşılanacak bir gelişme olarak, kılavuzların sıklıkla rutin klinik bakımda uygulanmasında, zorlu olduğu ispatlanan kanıtlar giderek artmaktadır [8]. Bu uygulama sürecini desteklemek için, dikkat, klinisyenlerin kilit tavsiyelerde bulunmasına ve uygulama çabalarıyla ilerlemeyi izlemesine yardımcı olabilecek araçların geliştirilmesi ihtiyacına giderek daha fazla odaklanmaktadır [9].
Kalite standartları ve göstergeleri, klinisyenlere ve sağlık kuruluşlarına, üzerinde anlaşmaya varılan kanıta dayalı önerilere karşı verilen bakım kalitesini değerlendirmeye yardımcı olması için tasarlanmış potansiyel olarak önemli araçlardır [9]. Bunlar şimdi birçok hastalık için ve klinik alanlarda kullanılmaktadır, ancak anafilaksi ile ilişkili halihazırda düzenli olarak kullanılanların henüz farkında değiliz.
Temel anafilaksi önerilerinin klinik uygulamaya dönüşmesini desteklemek için kanıta-dayalı araçlar geliştiriyoruz ve bu süreci bilgilendirmek için mevcut anafilaksi kalite göstergelerini belirleyerek sistematik bir gözden geçirmeyi gerçekleştirdik ve daha fazla gelişme ihtiyacı duyulan boş alanları belirledik.
Yöntemler
Yöntemlere, kayıt ve raporlamaya genel bakış
Yayınlanmış ve yayınlanmamış literatür araştırmalarını içeren literatürü sistematik bir şekilde inceledik. Bu inceleme PROSPERO veritabanında kayıt numarası CRD42016035381 ile kayıtlıdır. Bulgular, PRISMA yönergelerinde [10] savunulan ilkeler kullanılarak bildirilmiştir (Ek dosya 1).
Arama stratejisi
Anafilaksi için standartlar ve/veya kalite göstergeleri ile ilgili makaleleri belirlemek için oldukça hassas bir arama stratejisi geliştirdik. Bu strateji, 1 Ocak 2005-31 Aralık 2015 döneminde yayınlanan hakem-incelemesinden geçmiş basılan makalelerin bulunduğu literatürü, Medline, EMBASE ve CINAHL veri tabanlarının ve Google'da gri ve yayınlanmamış literatür araştırmasını kapsamaktadır. Herhangi bir sil kısıtlaması uygulanmamıştır. Arama terimlerimiz Ek te ayrıntılı olarak verilmiştir.
Dahil edilme kriterleri
Herhangi bir yaştaki hastalarda akut ve uzun-süreli anafilaksi bakım kalitesini ölçmek için kullanılan göstergeler üzerine yayınlanan raporlarla ilgilendik. Bunların nasıl geliştiğine ilişkin herhangi bir kriter belirlenmemiş ve bu nedenle makale seçiminde herhangi bir çalışma filtresi kullanılmamıştır.
Göstergelerin seçimi
İki yorumcu, manuskriptleri önceden belirlenmiş olan dahil edilme kriterlerine göre, bağımsız olarak seçmiştir. İhtilaflar, gerektiğinde üçüncü bir yorumcu hakemliğinde görüşülerek çözülmüştür.
Verilerin toplanması
İki yorumcu, bağımsız olarak, gösterge verilerini özelleştirilmiş bir veri çıkarma tablosuna aktarmıştır; anlaşmaya varılmadığı durumlarda üçüncü bir yorumcu hakemliğinde anlaşmazlıklar görüşmelerle giderilmiştir. Bulunabildiği takdirde, bu göstergelerin nasıl geliştirildiğine, test edilmiş olup olmadıklarına ve bakım kalitesinde iyileşmeler yakalayıp yakalayamadıklarına, deneysel bağlamlarda kullanıp kullanılmadığına ilişkin verilerde çıkartılmıştır.
Göstergelerin kalite değerlendirmesi
Bu göstergelerin kalitesi, daha sonra, Sağlık Hizmetleri Araştırması ve Kalite Ajansı (AHQR) tarafından önerilen dört aşamalı kalite göstergesi prosesi kullanılarak ayrıntılı kriterlere karşı değerlendirilmiştir: Bu proses aşağıdakileri içermektedir:
- Geliştirme: Bir literatür taraması ve/veya uzmanlarla görüşme yoluyla aday göstergelerin belirlenmesi;
- Uygulama: Aday göstergelerinin test edilmesi, bunları yazılımlara aktarılması vb.;
- Bakım: Göstergelerin düzenli olarak kontrol edilmeleri ve gerektiğinde en son gelişmelerin nakledilebilmesi için güncellenmesi; ve
- Yürürlükten kaldırma süreçleri: Göstergelerin, periyodik aralıklarla ve hala ilgili olup olmadıklarının değerlendirilmesi, yürürlükten kaldırılmasının gerekip gerekmediğinin değerlendirilmesidir [11].
Gerektiğinde, bu geliştirme araçlarının yazarlarıyla daha ayrıntılı bir açıklama yapmaları için iletişime geçilmiştir.
Verilerin sentezi
Daha sonra, Avrupa Alerji ve Klinik İmmünoloji Akademisi (EAACI) [12] tarafından geliştirilen en yeni uluslararası anafilaksi kılavuzlarındaki çeşitli tavsiyelerle mevcut göstergeleri eşleştirdik, örtüşen alanları ve boşluk alanlarını belirledik ve genel bir değerlendirmeyi gerçekleştirerek, herhangi belirli bir göstergenin rutin klinik uygulamada kullanım için uygun olup olmadığını değerlendirdik. Mevcut göstergeler, trafik-ışıkları renklerine göre kodlanarak değerlendirilmiştir; yeşil renk gösterilen göstergelerin, AHRQ sürecinden geçtikçe rutin kullanım için uygun/oldukça uygun olduklarını belirtilirken, sarı renkli göstergeler bazı ilave çalışmalara ihtiyaçları olduğunu göstermiştir. Kırmızı renkli göstergeler ise, AHRQ tarafından önerilen aşamaların çoğunun takip edilmemesi nedeniyle önemli miktarda ilave desteklere ihtiyacı oldukları, temel prensip olarak takip edilmemesi gerektiği şeklinde değerlendirilmiştir.
Bulgular
Dahil edilen çalışmaların özellikleri
Araştırmalarımız 830 çalışmayı tanımlamıştır; bunlardan beşi dahil etme kriterimizi sağlamıştır (Şekil 1) [12-16]. Göstergelerin beş kaynağı Tablo 1 de ayrıntılı olarak verilmektedir. Akut anafilaksi yönetimi için 27, daha uzun-süreli anafilaksi yönetimi için geri kalan 27 olmak üzere toplam 54 ayrı gösterge tanımlanmıştır. Anafilaksinin akut ve uzun-süreli yönetimi için göstergeler beş kaynağın dördünde tespit edilmiştir [12, 14-16]. İki gösterge kaynağı yalnızca çocuklara ve gençlere odaklanmıştır [16,17] ve bir tanesi anafilaksinin akut yönetimi için sadece Acil Departmanlara (ED) sevkedilen çocuklara odaklanmıştır [17].
Coğrafi olarak üç gösterge grubu İngiltere’de (UK) [14-16], dördüncü gösterge grubu Kanada'da [17], beşinci gösterge grubu pan-Avrupa ülkeleri kökenli olmak üzere geliştirilmiştir [12].
Göstergelerin AHRQ kriterlerine göre değerlendirilmesi
Tablo 2, AHRQ tarafından öngörülen dört kriterin her birine ilişkin göstergelerin niteliğine ilişkin değerlendirmelerimizi özetlemektedir.
1. Gelişimin ölçülmesi
EAACI göstergeleri [12] temel önerilere ilişkin klinik yönergelerden türetilmiştir. Levy göstergeleri [14] uzman konsensüsü aracılığıyla geliştirilmiştir. Ulusal Sağlık ve Klinik Mükemmelliği Enstitüsü (The National Institute of Health and Clinical Excellence (NICE)) göstergeleri ilgili kılavuz önerilerinden türetilmiştir [15]. Pediatrics ve Çocuk Sağlığı Kraliyet Koleji (Royal College of Paediatrics and Child Health (RCPCH)) göstergeleri, anafilaksi şüphesi olan çocuklar için bakım yolundan türetilmiştir [16]. Stang göstergeleri; AHRQ tarafından önerilen aşamalarla geliştirilen, yani göstergeleri belirlemek ve değerlendirmek için resmi süreçlerdendir [17]; Dahası, bunlar Ulusal Kalite Çerçevesi (National Quality Framework (NQF)) ölçüt değerlendirme kriterleri kullanılarak geliştirilmiştir [19].
2. Uygulama
EAACI göstergelerinin [12] formal bir uygulama değerlendirmesi bulunmamaktadır. Levy göstergeleri [14] http://www.guideline-audit.com/adrenaline/audit_specification.php web adresinde serbest olarak kullanıma sunulmuştur ve bakım kalitesini kıyaslama olanağı ile çeşitli İngiltere genel uygulamalarında başarıyla uygulanmıştır. NICE [15] genel bir uygulama ekibine sahiptir ve bir seri uygulama aracı geliştirmiştir, ancak bu göstergeleri uygulamada uygulayabilme becerisinin formal olarak değerlendirilip değerlendirilmediği belli değildir. RCPCH [16], bir uygulama stratejisinden bahsetmemektedir. Stang göstergeleri operasyonel hale getirilmiş ve bir ED ortamında test edilmiştir [17].
3. Bakım
Göstergelerin hiçbirinde formal bakım kontrolleri planlamamıştır.
4. Yürürlükten kaldırma
EAACI [12], NICE [15] ve RCPCH [16], klinik yönergelerinin/yollarının periyodik olarak gözden geçirilmesi için süreçler kurduklarını belirtmekle birlikte, göstergelerin yürürlükten kaldırılmalarına dair herhangi bir planları bulunmamaktadır.
Göstergelerin kılavuz önerilerle eşleştirilmesi
EAACI Rehberleri [12], anafilaksinin akut tedavisi ile ilgili 16 öneride bulunmuş ve göstergeler EAACI tarafından bu önerilerin tümü için geliştirilmiştir (Tablo 3). Bu önerilerin altısı, diğer kaynaklardan belirlenen göstergelere de sahiptir.
Anafilaksinin uzun-süreli yönetimi için EAACI sekiz öneride bulunmuş ve göstergeler EAACI tarafından bunların tümü için geliştirilmiştir (Tablo 4). Bu önerilerin beşi için diğer kaynaklardan ilave göstergeler belirlenmiştir.
Tablo 3 ve 4, hangi göstergelerin amaç için uygun olduğunu göstermek için AHRQ kriterlerine uygunluklarına göre renk kodlandırılmıştır. Yeşil, AHRQ kriterlerine göre geliştirilmiş ve uygulamaya hazır göstergeleri tanımlarken, kırmızı, uygulamaya geçilmeden önce daha fazla gelişimsel çalışmalara ihtiyaç duyan göstergeleri göstermektedir ve ikisi arasındakiler sarı renkli gösterilmiştir. Bu tablolar, Stang ve ark. [17] (kodlanmış yeşil) ve Levy [14] (kodlanmış sarı) göstergelerin nispeten daha mütevazi bir çabayla amaç için uygun hale getirilebileceğini göstermektedir; Bununla birlikte, önemli gelişme çalışmaları gerektiren akut ve uzun-süreli yönetim (kodlanmış kırmızı) ile ilgili boşluklar halen devam etmektedir.
Tartışma
Temel bulguların açıklaması
Bu çalışma, anafilaksinin akut ve uzun-süreli yönetiminin birçok yönünü kapsayan aday kalite göstergelerinin bulunduğunu göstermiştir. Bununla birlikte, bunlardan sadece birkaçı AHRQ tarafından önerilen dört aşamalı geliştirme sürecinden geçmiştir, ve bunlardan hiçbirisi kalite göstergelerinin bakım veya yürürlükten kaldırma kararlarını kabul etmemiştir [11]. Bu nedenle, bunların herhangi birisinin klinik uygulamalarda rutin kullanım için tavsiye edilebilmesi için daha fazla çalışmaya ihtiyaç duyulmaktadır [17]. Buna göre, Stang ve ark. tarafından anafilaksinin akut yönetimi için geliştirilen göstergeler; [16] ve Levy [14] tarafından uzun-süreli yönetim için geliştirilenler nispeten mütevazı ek bir çabayla amaca uygun hale getirilebilirler. Dolayısıyla EAACI bu işi üstlenmeyi ve bu göstergeleri adapte etmeyi düşünmelidir. Hem akut hem de uzun-süreli yönetimle ilgili diğer alanlar çok daha fazla geliştirme çalışması ve değerlendirme gerektirmektedir.
Güçlü Yönler ve Sınırlamalar
Bu çalışmanın en önemli dayanağı, AHRQ [11] tarafından önerilen dört aşamalı süreci kullanarak bu göstergelerin geliştirilmesi ve uygulanması metotlarının uygunluğunu formal olarak tanımlayan ilgili literatürü belirlemek için sistematik inceleme yöntemlerini kullanmamız ve daha sonra bu göstergeleri günümüz EAACI anafilaksi yönergeleri ile sistematik olarak eşleştirmemizdir[5].
Bu çalışmanın sınırlamaları da göz önüne alınmalıdır. Araştırmalarımızda herhangi bir dil kısıtlaması yapmamak, gri edebiyatı araştırmak ve bir uzmanlar paneliyle iletişime geçmek suretiyle bu riski en aza indirmeye çalışsak da, ilgili literatürü ve göstergeleri tanımlayamamış olma ihtimalimiz buna dahildir. Ayrıca, hakem-onaylı ya da gri literatürde yer almayan, bu göstergelerin kullanımıyla ilgili deneyimler de bulunabilirdi. Bu konu daha fazla araştırılabilir; örneğin elektronik sağlık kayıtları ve yazılım tedarikçileriyle temasa geçilebilir ve varsa hangilerinin hesaplanıp hesaplanmadığını görülebilir.
Yayınlanmış diğer literatür ışığında yorumlama
Anafilaksi, diğer hastalık alanlarına kıyasla, kalite göstergeleri açısından nispeten gelişmemiştir [18]. Örneğin, NICE, İngiltere Kalite ve Sonuçları Çerçevesi (UK Quality and Outcomes Framework (QOF)) aracılığıyla bakımdaki gelişmeleri teşvik etmek için kullanılan bozukluklar - özellikle uzun-süreli koşullar - için göstergeler geliştirmiştir [19, 20]. Bunların kullanıldığı alanlara örnek olarak astım, atriyal fibrilasyon, kan basıncı ve kanser bakımı dahildir [21]. Benzer şekilde, ABD’de göstergeler, örneğin taburcu edildikten sonraki 30 gün içinde hastaların yeniden hastaneye kaldırılması gibi hastaneleri cezalandırmak için kullanılabilecek, hastane uygulamalarında yoğun olarak kullanılmaktadır [22,23]. En yüksek geri-kabul oranına sahip hastanelere mali cezalar yükleyerek ve bu nedenle kötü bakımları cezalandırarak, sağlanan bakım kalitesini iyileştirmek ümit edilmektedir [24].
Politika, uygulama ve araştırmalar için uygulama önerileri
Gösterge geliştirme, uygulama testleri ve bakım ve yürürlükten kaldırma konuları, kılavuz önerilerini rutin klinik uygulamaya çevirme ve sonuçlarını geliştirme şansını en üst düzeye çıkaracak kuralları üretme sürecinin ayrılmaz bir parçası olarak görülmelidir. Kalite göstergeleri, yukarıda sözü edilen mali teşvikler ve cezalarla bu çevirme sürecini artırabilir, ancak örneğin karşılaştırma (benchmarking) çabaları, denetim döngülerini destekleme ve kalite iyileştirme girişimleri gibi daha ince yollarla da kullanılabilir. Bu karşılaştırmalı süreçler, özellikle maddi teşvikler, para cezaları ya da itibar zararlarını içeriyorsa, uygun vaka-karması düzenlemesi ile dikkatli bir şekilde gerçekleştirilmelidir [25].
Çok-paydaşlı bir grup için başlıca temel adımlar bu mevcut aday göstergeleri formal olarak incelemek, mevcut göstergeler arasında seçim yapmak, gerekli gördüğü yerlerde alternatif göstergeler önermek, öneri boşluklarını dolduracak ek göstergeler geliştirmek ve daha sonra uygulama çabalarını desteklemek için formal saha çalışması gerçekleştirmektir. Buna paralel olarak gösterge bakımı ve yürürlükten kaldırma ile ilgili konuları değerlendirmek için de planlar yapılması gerekmektedir. AHRQ çerçevesinin bu işlemi yönlendirmekte de yararlı olduğu gösterilebilir [11].
Sonuçlar
EAACI Anafilaksi Rehberinde yapılan tüm tavsiyeler için göstergeler belirlenmiştir, ancak bunların hiçbirisi AHRQ tarafından belirtilen dört kriterin tümünü sağlamamıştır. Özellikle akut yönetimle ilişkili olarak, amaç için uygun hale getirmek için nispeten az çaba gerektiren bazı göstergeler bulunmaktadır. Uzun-süreli anafilaksi bakımının kalitesini değerlendirmeyle ilişkili olarak uygun olduğu kanıtlanabilecek bazı göstergeler de tespit edilmiştir. Bununla birlikte, diğer göstergeler daha fazla gelişimsel çalışma gerektirmektedir. Bu çalışmayı ilerletmek için, paydaşlar şimdi bu araştırmanın bulgularını değerlendirmeli ve daha sonra, istenen sonucu elde etmek için, pratikte çalışmak üzere uygun bir şekilde geliştirilmiş ve pratikte uygulanabilirliği kanıtlanmış, diğer bir deyişle, hastalara uygulanan anafilaksi bakımının kalitesini değerlendirmeye yardımcı olacak, ilave bir dizi formatif çalışmayı gerçekleştirmelidir.
Çevirmenin Notu
Kurumlar:
NICE - Ulusal Sağlık ve Klinik Mükemmelliği Enstitüsü (National Institute of Health and Clinical Excellence)
EAACI - Avrupa Alerji ve Klinik İmmünoloji Akademisi (European Academy of Allergy and Clinical Immunology)
AHRQ - Sağlık Hizmetleri Araştırması ve Kalite Ajansı (Agency for Healthcare Research and Quality)
RCPCH - Pediatrics ve Çocuk Sağlığı Kraliyet Koleji (Royal College of Paediatrics and Child Health)
NQF - Ulusal Kalite Çerçevesi (National Quality Framework)
QOF – İngiltere Kalite ve Sonuçları Çerçevesi (UK Quality and Outcomes Framework
Şekil 1 – Anafilaksi Göstergelerinin PRISMA akış diyagramı



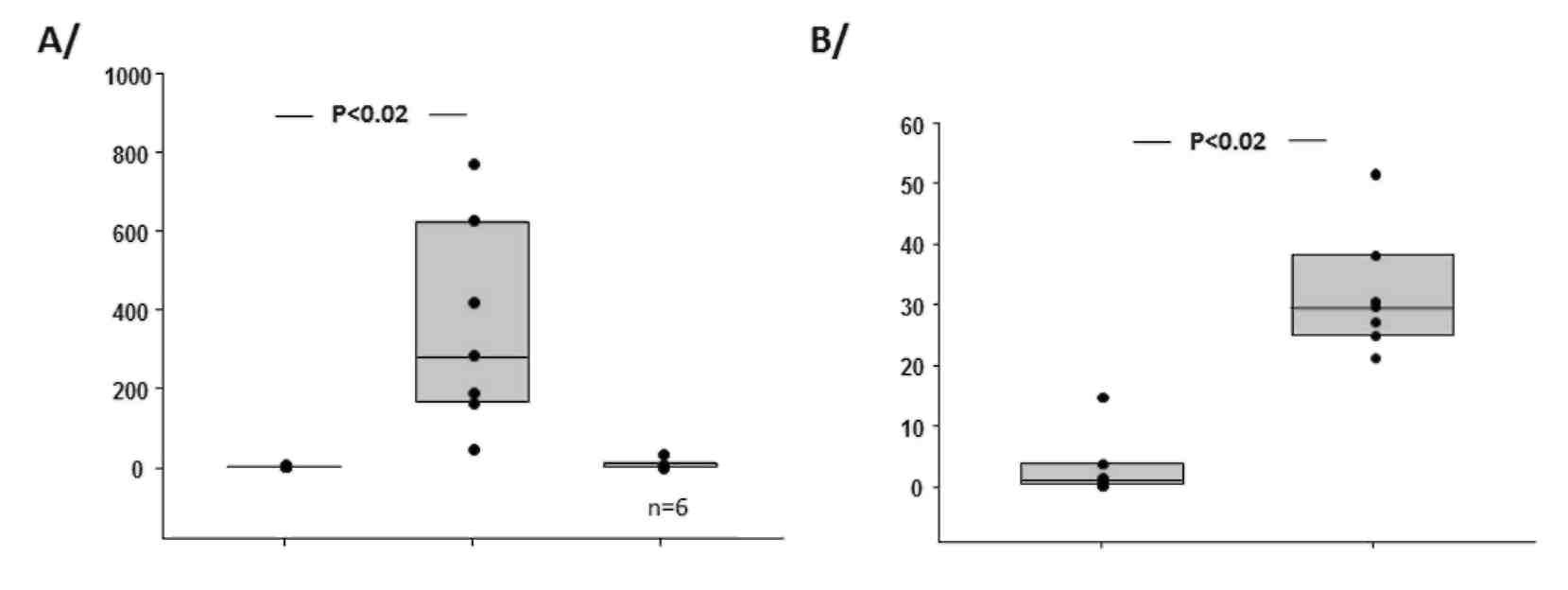
Tablo 3 Anafilaksinin akut yönetimi için göstergeler, gösterge kalitesinin değerlendirilmesiyle birlikte EAACI önerileri ile karşılaştırılmıştır
Öneri |
Gösterge
|
Kaynak
|
|
Adrenalin potansiyel olarak hayat kurtarıcıdır ve bu nedenle acil anafilaksi tedavisinin birinci basamak tedavisi olarak hemen uygulanmalıdır.
|
Akut anafilaksi reaksiyonu için intramüsküler bir adrenalin enjeksiyonu ile tedavi edilen çocukların yüzdesi
ED'de epinefrin alan anafilaksi hastalarının yüzdesi
|
Stang ve ark.
Stang ve ark.
|
|
Adrenalin Oto- enjektörleri reçete edilen hastaların % 100'ü doğru dozda olmalıdır
|
Levy
|
|
Süresi geçmemiş adrenalin oto-enjektörlü anafilaksi riski taşıyan hastaların yüzdesi
|
EAACI
|
|
Anafilaksi geçiren ve hemen adrenalin ile tedavi edilen hastaların yüzdesi
|
EAACI
|
|
Reaksiyonun başlama zamanı kaydedilmelidir
|
NICE
|
|
Adrenalinin erken uygulanması, alerjik bir reaksiyonun anafilaksiye dönüşmesi muhtemel olduğu zaman bireysel olarak düşünülmelidir
|
Anafilaksi geçiren ve hemen adrenalin ile tedavi edilen hastaların yüzdesi
|
EAACI
|
|
Adrenalin orta dış baldıra intramüsküler enjeksiyon ile uygulanmalıdır
|
ED'de epinefrin ile uygun yolla tedavi edilen hastaların yüzdesi
Bir akut anafilaksi reaksiyonu için intramüsküler adrenalin enjeksiyonu ile tedavi edilen çocukların yüzdesi
|
Stang ve ark.l
Stang et al
|
|
oto-enjektörü orta dış baldıra uygulayan hastaların yüzdesi
|
NICE
|
|
Bir akut anafilaksi reaksiyonu için intramüsküler adrenalin enjeksiyonu ile tedavi edilen çocukların yüzdesi
|
RCPCH
|
|
Tekrarlanan dozlarda adrenalin uygulaması gerektiren hastalarda, bunlar en az 5 er dakika aralıklarla uygulanmalıdır
|
> 1 doz adrenaline ile tedavi edilen hastaların yüzdeleri, zamanlaması ve uygulayanlar (ebeveynler, paramedikler, kendisi)
|
EAACI
|
|
2 veya daha fazla intramüsküler
adrenalin dozuna yetersiz cevap
verildiğinde uygun bir eğitime sahip
Yoğun bakım, acil servis elemanı
Ve kritik bakım doktoru tarafından
Uygun kardiyak izlemeyle
İnfüzyon şeklinde uygulanabilir
|
Anaflaksi ile yoğun bakım gerektiren hastaların % si
≥ 2 doz intramüsküler adrenalin gerektiren
hastaların % si
|
EAACI
|
|
Anafilaksi atağının tetiklenmesi engellenmelidir
|
İlaca ya da kan ürünlerine anafilaksisi olan hastalarda tetiklemenin engellenmesi için gereken süre
|
EAACI
|
|
Belirtilerin başlamasından hemen önceki koşullar olası tetikleyiciyi tanımlamak için kaydedilmelidir
|
NICE
|
|
Yardım, derhal ve hastanın değerlendirmesiyle paralel olarak aynı anda çağrılmalıdır.
Anafilaksi yaşayan hastalar eğer dolaşımda instabiliteye sahipse solunum sıkıntısı varsa oturtulup bilinçsiz olduğunda iyileşme pozisyonunda üst ekstremite ile birlikte sırtüstü konumlandırılmalıdır.
|
Yardım çağrılmalı mıdır ne zaman
|
EAACI
|
|
Daha önce anafilaksi gören hastalarda tedavi görürken doğru pozisyona yerleştirilen hastaların oranını belirleyin.
|
EAACI
|
|
Yüksek oksijen akışı, anafilaksi olan tüm hastalara yüz maskesi ile uygulanmalıdır
|
Anafilaksi olan, (ambulans) ve hastanede yüksek oksijen akışı verilen hastaların yüzdesi
|
EAACI
|
|
Kardiyovasküler istikrarsızlık yaşayan hastalarda intravenöz sıvı (kristaloid) uygulanmalıdır (20ml/kg' lık boluslar)
|
Anafilaksi uygulanmış IV sıvı almış hastaların yüzdesi (bolus ve bakım)
İlk gözlemlerin bir parçası olarak tansiyon ölçümü yapılan hastaların yüzdesi
|
EAACI
EAACI
|
|
Bronkokonstriksiyon semptomlarını hafifletmek için inhale kısa etkili beta-2 agonistleri ek olarak verilmelidir
|
Anafilaksi bağlamında alt solunum yolu semptomları olan ve adrenalin verilen hastaların % 'si
Anafilaksi açısından alt solunum yolu semptomları olan ve adrenalin yerine, inhaler beta-2-agonistleri verilen hastaların % si
|
EAACI
EAACI
|
|
Oral H1- (& H2) - antihistaminikler, anafilaksinin kutanöz semptomlarını hafifletebilir
|
Adrenalin öncesi antihistaminikleri kendi kendine uygulayan anafilaksi hastalarının % si
|
EAACI
|
|
Sistemik glukokortikosteroidler geç faz solunum semptomları riskini azaltabileceği için kullanılabilir. Yüksek doz nebülize glukokortikoidler üst solunum yolu tıkanıklığı için yararlı olabilir
|
Glukokortikosteroidler ile veya olmaksızın adrenalin tedavisi gören hastaların yüzdesi
|
EAACI
|
|
Solunum sıkıntısı ile başvuran hastalar en az 6-8 saat boyunca yakından izlenmelidir ve dolaşım instabilitesi ile başvuran hastaların 12-24 saat boyunca yakın izlemi gerekmektedir
|
24 saate kıyasla 6 saat içinde taburcu edilen hastaların yüzdesi ve reaksiyonun sonucu; bifazik yanıt gelişimi veya tekrar doz adrenaline duyulan ihtiyaç
Akut bir anafilaksi atağı geçiren çocuklardan hastaneye kaldırılanların yüzdesiı
Akut bir anafilaksi atağı geçiren ve hastaneye kaldırılan ve enaz 4 saat gözlenen çocukların yüzdesi
Anafilaksi şüphesi nedeniyle hastaneya kaldırılan 16 yaşından küçük her çocuk acil tedavi görüyorsa, pediatrik bir sağlık ekibi tarafından hastaneye yatırılmalıdır
|
EAACI
RCPHCP
RCPHCP
NICE
|
|
Taburcu edilmeden önce, gelecek reaksiyonların riski değerlendirilmeli ve nüks riski olanlara bir adrenalin otomatik enjektörü reçete edilmelidir
|
Anafilaksi sonrası taburcu edilen hastaların adrenalin oto-enjektör reçete edilenlerin yüzdesi
Şüphelenilen anafilaksi için acil tedavi sonrasında insanlara (veya uygun olduğu takdirde, ebeveyni ve/veya bakıcısına), uzman alerji randevusuna başlamadan önce geçici bir önlem olarak uygun bir adrenalin enjektörü önerilmelidir
|
EAACI
NICE
|
|
Alerjenlerden kaçınma önlemleri (mümkünse) ve adrenalin otomatik enjektör kullanım talimatları da dahil olmak üzere hastalara bir deşarj öneri tablosu verilmelidir.
Uzman ve gıda alerjisi uzman diyetisyeni (gıda anafilaksisinde) takibi organize edilmelidir. Hasta destek grupları için iletişim bilgileri de sağlanmalıdır.
|
Deşarj öneri belgesi olan hastaların yüzdesi ve anafilaksi sonrasında akıntıya adrenalin otomatik enjektör kullanımına ilişkin eğitim
Şüpheli anafilaksi için acil tedavi sonrasında insanlara uzman bir alerji servisine danışma hizmeti verilmelidir
Taburcu edilmeden önce, uygun bir beceri ve yetkinliğe sahip bir sağlık mesleği mensubu kişiye (veya uygun olduğu takdirde ebeveynleri ve/veya bakıcısına) aşağıdaki bilgiler sunulmalıdır:
• Anafilaktik reaksiyon belirtileri ve belirtileri de dahil olmak üzere anafilaksi hakkında bilgi
• Bifazik reaksiyon riski hakkında bilgi
• Bir anafilaktik reaksiyon ortaya çıkarsa ne yapılması gerektiğine dair bilgi (adrenalin enjektörünü kullanın ve acil servis çağırın)
• Adrenalin enjektörünün doğru kullanımı ve ne zaman kullanılacağının gösterilmesi
• Şüphelenilen tetikleyicilerin (bilindiğinde) nasıl önleneceği konusunda tavsiyeler
• Uzman bir alerjiye sevk gereksinimi ve sevk süreci hakkında bilgi
• Hasta destek grupları hakkında bilgi
|
EAACI
NICE
NICE
|
Tablo 4 Anafilaksinin uzun-süreli yönetimi için göstergeler, gösterge kalitesinin değerlendirilmesiyle birlikte EAACI önerileri ile karşılaştırılmıştır.
|
Öneri
|
Gösterge
|
Kaynak
|
|
Gelecekteki reaksiyonları önlemek için teşhis anından itibaren bir anafilaksi yönetim planı kullanılmalı ve diğer reaksiyonların tanınması ve tedavisine yardımcı olunmalıdır
|
Kayıtlı anafilaksi tanısı alan hastaların % 100'ünde yazılı bir öz-yönetim planı aldığına dair kanıtlar bulunmalıdır.
Anafilaksi tanısı alan hastaların en az % 80'i son bir yılda gözden geçirildi mi?
|
Levy
Levy
|
|
Kendi kendine tedavi edilen adrenalin reçeteli hastaların % 100'ü veya ebeveynleri / temsilcileri cihaz kullanmayı öğrenmiş olmalıdır.
|
Levy
|
|
Hastaların veya ebeveynlerinin / temsilcilerinin en az % 80'i son 12 ayda otomatik enjektörlerini kullanabileceklerini göstermiştir
|
Levy
|
|
Kendi kendine tedavi edilen adrenalin reçeteli hastaların en az % 80'inde kayıtlı anafilaksi var mı?
|
|
|
Daha ileri derecede alerjik reaksiyonlar ve ED kalış süresinin dolması nedeniyle ED'ye katılan hastaların % 'si
|
EAACI
|
|
Daha şiddetli alerjik reaksiyon ve hastanede kalma süresi nedeniyle hastaneye kaldırılan hastaların yüzdesi
|
EAACI
|
|
Daha şiddetli alerjik reaksiyon nedeniyle ölen hastaların % 'si
|
EAACI
|
|
Akut klinik özellikler belgelenmelidir
|
EAACI
|
|
Belirtilerin başlamasından hemen önceki koşullar olası tetikleyiciyi tanımlamak için kaydedilmelidir
|
NICE
|
|
Şüpheli anafilaksi için acil tedavi sonrasında insanlara uzman bir alerji servisine danışma hizmeti verilmelidir
|
NICE
|
|
Şüphelenilen anafilaksi için acil tedavi sonrasında insanlara (veya uygun olduğu takdirde, ebeveyni ve / veya bakıcısına), uzman alerji randevusuna başlamadan önce geçici bir önlem olarak uygun bir adrenalin enjektörü önerilmelidir
|
NICE
|
|
Akut bir anafilaksi atağı geçiren ve spesifik alerji testleri ile araştırılan çocukların yüzdesi
|
RCPCH
|
|
Adrenalin dozunu değerlendirmek için bir adrenalin enjektörü taşıyan tartılmış çocukların yüzdesi
|
RCPCH
|
|
Anafilaksi riski altındaki çocukların (ve ailelerinin) her bir sağlık bakım ziyaretinde adrenalin enjektörünü akut şiddetli alerjiler için eğitilenlerin yüzdesi
|
RCPCH
|
|
Sağlık çalışanlarının okulların ve ilk yılların ayarlarında akut bir olayla nasıl başa çıkılacağı konusunda bilgilendirilmesini sağlandığı Anafilaksi olan çocukların yüzdesi
|
RCPCH
RCPCH
|
|
Daha önce anafilaksi episodu olan venom alerjik hastalara ve sistemik kutanöz reaksiyonları olan yetişkinlere Subkütanoz venom immünoterapi önerilir.
|
Tedavi uygulanmayan hastalara göre yaşam kalitesinde artış gösteren hastaların yüzdesi
|
EAACI
|
|
Anafilaksi tanıma ve yönetme eğitimi, anafilaksi riski altındaki çocukların tüm hasta ve bakım verenlerine, teşhis sırasında ideal bir şekilde sunulmalıdır
|
Kendi kendine tedavi edilen adrenalin reçeteli hastaların% 100'ü veya ebeveynleri / temsilcileri cihaz kullanmayı öğretmiş olmalıdır.
Hastaların veya ebeveynlerinin / temsilcilerinin en az % 80'i son 12 ayda otomatik enjektörlerini nasıl kullanabileceklerini göstermiştir
|
Levy
Levy
|
|
Kayıtlı anafilaksi tanısı alan hastaların% 100'ünde yazılı bir öz-yönetim planı aldığına dair kanıtlar bulunmaktadır
|
Levy
|
|
Adrenalin oto-enjektör eğitim cihazları hekim ofislerinde veya hastanelerde bulunmalıdır;
eğitim zamanı yoksa allerjiste acilen sevk edilmelidir.
|
EAACI
|
|
Akut klinik özellikler belgelenmelidir
|
NICE
|
|
Anafilaksi riski altındaki çocukların (ve ailelerinin) her bir sağlık bakım ziyaretinde adrenalin enjektörünü akut şiddetli alerjileri için eğitilenlerin yüzdesi
|
RCPCH
|
|
Sağlık profesyonellerinin okulların ve ilk yılların ayarlarında akut bir olayla nasıl başa çıkılacağı konusunda bilgilendirilmesini sağlandığı Anafilaksi olan çocukların yüzdesi
|
RCPCH
|
|
Anafilaksi olan çocukların yüzdesi, sağlık çalışanlarının okulların ve ilk yılların ayarlarının akut bir olayla nasıl başa çıkılacağı konusunda bilgilendirilmesini sağlamıştır.
|
Çocuklarda anafilaksi tedavisi için klinik yönergeleri olan ED’lerin yüzdesi
|
Stang et ark.
|
| Anafilaksi tanıma ve yönetme konusunda eğitim almış sağlık profesyonellerinin %si |
EAACI |
|
Eğitim paketleri hedef gruplarla birlikte geliştirilmelidir
|
Anafilaksi eğitim paketlerinin sayısı ve kalitesi
|
EAACI
|
|
Eğitim, alerjenin önlenmesi, alerjik reaksiyon belirtileri, ne zaman ve nasıl adrenalin otomatik enjektör kullanılacağını ve bir anafilaksi yönetim planı kapsamında başka önlemlerin alınıp alınmaması gerektiğini kapsamalıdır
|
Kendi kendine tedavi edilen adrenalin reçeteli hastaların % 100'ü veya ebeveynleri / temsilcileri cihaz kullanmayı öğrenmiş olmalıdır.
Hastaların veya ebeveynlerinin / temsilcilerinin en az% 80'i son 12 ayda otomatik enjektörlerini kullanabileceklerini göstermiştir
|
Levy
Levy
|
|
% of patients or caregivers who receive training
|
EAACI
|
|
Eğitim, gözden geçirmeye izin vermek için birden fazla oturum, etkileşimli bir senaryo temelli yaklaşım, manuel ve eğitim materyali ile standartlaştırılmış bir program ve simülasyon araçları içerebilir. İçerik ve dil, anlaşılacak ve hafızaya alınacak şekilde uyarlanmalıdır.
|
Anafilaksi tanısı alan hastaların en az% 80'i son bir yılda gözden geçirildi mi?
|
Levy
|
| Kendi kendine tedavi edilen adrenalin reçeteli hastaların % 100'ü veya ebeveynleri / temsilcileri cihaz kullanmayı öğrenmiş olmalıdır. |
Levy |
| Eğitim alan hastaların veya bakım verenlerin yüzdesi |
EAACI |
|
Eğitim müdahaleleri, anksiyete sorununu gidermek için psikolojik ilke ve yöntemleri ideal bir biçimde dahil etmelidir; böylece çocukların ve ailelerin, evde, okulda / işte ve sosyal olarak geleceğe yönelik tepkiler göstermelerine rağmen iyi bir şekilde çalışması ve ideal olarak eğitim eğitimlerinin bir parçası olması gerekir.
Bu, grup biçiminde yapılabilir.
Sürekli endişe ile devam eden bazı hastalar, daha derinlemesine bire bir psikolojik müdahale gerektirebilir
|
Eğitimli hastalar ve bakım veren kişilerde uyarlanabilir kaygı düzeylerinin optimizasyonu
|
EAACI
|
Yeşil, sarı ve kırmızı renkler, AHRQ kriterlerine göre hangi göstergelerin geliştirildiğini gösterir, yeşil en yakın ve kırmızı en uzaktır.
Alerji ve Klinik İmmünoloji Dergisi: Pratikte – 2016 yılı gözlemi
Editörler olarak, ‘Alerji ve Klinik İmmünoloji: Pratikte’ dergisinde 2016 yılında yayınlanan İnceleme, Orijinal ve Klinik İletişim makalelerini vurgulayan bir Gözlenen Yıl makalesi yazmanın okuyucularımıza faydalı olacağı sonucuna vardık. Astım, rinit/rinosinüzit, gıda alerjisi, anaflaksi, ilaç alerjisi, ürtikaryal/ anjiyoödem, eozinofilik bozukluklar ve immün yetmezlik konularıyla ilgili makaleleri özetledik. Her bir konu içinde, epidemiyolojik bulgular sunulmuş, önlemeyle ilgili durumlar anlatılmış ve tanısal ve terapötik gelişmeler tek tek belirtilmiştir. Belirtilen tanısal araçlar geçmiş, cilt testleri ve in vitro testlerini içermekteydi. Tartışılan tedaviler davranışsal tedaviyi, alerjen kaçınma tedavisini, farmakolojik tedavinin pozitif ve negatif etkilerini ve immünolojik ve duyarsızlaşma yönetimini içermektedir. Umuyoruz ki bu inceleme, hastaların faydası için bu geniş çaplı ve uygulanabilir bilginin kullanımında siz okuyuculara yardım edecektir. 2016 Amerika alerji, astım & immünoloji akademisi (J Allergy Clin Immunol Pract 2017;5:218-36).
Anahtar kelimeler: Astım, Alerji, Rinit, Rinosinüzit, Gıda alerjisi, Anaflaksi, İlaç alerjisi, Ürtiker, Anjiyoödem, Eozinofilik özofajit, Eozinofili, İmmün yetmezlik.
Alerji ve Klinik İmmünoloji: Pratikte Dergisi için amacımız, ‘JACI: pratikte dergisinin astımı, alerjik ve immünolojik bozuklukları yöneten ve bu konular üzerinde çalışan klinisyenlerin ve klinik araştırmacıların üzerinde olabilecek en büyük etkiye sahip olması için içeriğimizin en yüksek kalitesi ve klinik ilgisi için çaba göstermektir.’ 2016’daki JACI: pratikte dergisinde yayınlanan makalelerin de daha önemli bir amaç olan hastalarımızın yaşam kalitesini geliştirmenin yanında bunu amaçladığına inanıyoruz. Bu Gözlenen Yıl makalesi, yetişkin ve pediatrik astım (astım medikasyon adhernası ve kendi kendine yönetme de dahil olmak üzere), rinit/rinosinüzit, gıda alerjisi, anaflaksi, ilaç alerjisi, ürtikaryal/ anjiyoödem, eozinofilik bozukluklar ve immün yetmezlik konularında 2016’daki dergide yayınlanan İnceleme, Orijinal ve Klinik İletişim makalelerini özetleyecektir (Tablo 1). Uluslararası Uzay İstasyonu içinde Atopik dermatit, kontakt dermatit, venom immünoterapi, hipersensitivite pnömonisi, iklim değişikliği ve sağlık, allerjistlerle twitter kullanımı, atopi ve yemek bağımlılığı, kızarıklık ve rinit konularında da geçtiğimiz yıl dergide makaleler yayınlanmıştır.
ASTIM
Pediatrik astım
JACI: pratikte dergisinin yayınlanmasının dördüncü yılı, son on yılda astım ağlarının klinik denemelerine sponsor olan Ulusal Kalp, Akciğer ve Damar Enstitüsü (NHLBI) ve Ulusal Alerji ve Enfeksiyon Hastalıklarından (NIAID) öğrenilen dersler üzerine aydınlatıcı incelemelerle beraber elverişli olmaya başlamıştır. Şehir İçi Astım Birliği, üzerinde az çalışılmış şehir içi yoksul ve azınlıktaki astımlı çocukların yüksek riskli astım eksaserbasyonu risk faktörleri ve tedavisi ile ilgili derinlemesine bilgi vermiştir. Spesifik risk faktörler bütün mevsimlerde alerjik durumlar ve pulmoner fonksiyon, esaserbasyonu takip eden aylar, atopi ve özellikle hamamböcekleri ve kemirgenlere karşı alerjik duyarlılık ve spesifik alerjen maruziyetinin kombinasyonuydu. Eksaserbasyonu azaltan yararlı müdahaleler, sonlandırması zor olsa da ev alerjenlerinin yok edilmesi, bahar eksaserbasyonunu önlemek için yaz aylarında önleyici kontrol eden medikasyon kullanımının teşvik edilmesi, artan astım kontrolünü güçlendirmek için Ulusal Astım Eğitimi ve Önleme Programı (NAEPP) Uzman Panel Raporu 3 yönlü tedavinin uygulanmasını içermekteydi.
Çocuk Astım Araştırması ve Eğitimi (CARE) Ağı ve AstımAğı tarafından yürütülen klinik denemeler, okul öncesi çocuklarda yüksek riskli tekrarlayan epizodik hırıltıları anlamak ve yönetmek için kilit mesaj vermiştir. Bu hırıltı fenotipi, epizodlar arasında en az semptomlu veya semptomsuz akut epizodlar boyunca yüksek hastalık oranını kanıtlamaktadır. Günlük düşük doz inhale kortikosteroidler (ICS), yüksek modifiye astım prediktif indeksi olanlarda, eksaserbasyonu azaltmada etkilidir ancak hastalığın ilerlemesini değiştirmede etkili değildir. Respiratör hastalıkların başlangıcında aralıklı yüksek doz ICS, daha az kümülatif ICS maruziyeti ile bu fenotipte etkili bir alternatif yaklaşım olarak gösterilmiştir.
‘Astım eksaserbasyonunu önlemek için çocukları tedavi eden’ CARE ağının sekonder analiz denemeleri, aşağıdaki dayanak işaretleri veya özelliklerinin, hafif kalıcı astımı olan 6-18 yaş arası 288 çocukta, düşük dozlu ICS tedavisine yanıt olarak azalan eksaserbasyonlarla ilişkili olduğunu bulmuştur, bunlar: İspanyol olmayan etnik köken, aeroallerjen duyarlılaşma, arttırılan total serum IgE seviyesi (350 serum Ku/L) ve astım eksaserbasyonu için önceki yıl oral kortikosteroid (OCS) kullanımıdır. ICS tedavisi sırasında son yıldaki daha fazla astım kontrol günleri ile ilişkili göstergeler erkek cinsiyet, aeroallerjen duyarlılaşma, arttırılan serum IgE seviyesi ve hazırlık esnasında kısmi kontrolü içermekteydi. Hafif kalıcı astımı olan çocuklar, atopik astım veya daha fazla hastalık yükünü kanıtlasalardı, ICS tedavisi ile daha fazla yarar elde edeceklerdi.
Yetişkinlerde olduğu gibi, çocuklarda da şiddetli astım astmatiklerin azınlığında meydana gelmektedir ancak karmaşık, heterojen ve tedavi edilmesi zordur. Dr. Fitzpatrick, Şiddetli Astım Araştırma Programında şiddetli veya refrakter astıma kayıtlı çocukların alt grubundaki bulguları özetlemiştir. Çocukların bu alt kümesi, kontrol edici medikasyonların her zamanki dozlardaki uygun olmayan kontrollerden dolayı yüksek dozda ICS ve zaman zaman sistemik kortikosteroidler gerektirmiştir. Bu çocuklar çeşitli fenotiplere ve muhtemel biyolojik endopitlere sahipti. Tekrarlayan ve yaşamı tehdit eden eksaserbasyonları, azalan yaşam kalitesini ve artan medikasyon ile ilişkili advers etkileri kanıtlamışlardır. Tekrarlayan OCS seyirlerinin advers etkilerle ilişkili olduğu göz önünde alındığında, böyle bir tedavinin akut epizodik hırıltıları olan okul öncesi çocuklar için faydalı olup olmadığını belirlemek önemlidir.
Okul öncesi çocuklardaki akut hırıltı için OCS’nin rolü üzerinde çalışan analiz edilmiş yayınlanan avantaj/dezavantaj tartışmalarında, çelişkili çalışmalardan dolayı bu hırıltı fenotipi olan yeni yürümeye başlamış çocuklarda OCS’nin etkililik denemelerinin yürütülmesine acil ihtiyaç olduğu sonucuna varılmıştır.
İlginç bir şekilde, astımı olan 5-17 yaş arası 499 şehirli çocuk çalışmasında, yüksek fareye özgü IgE (evdeki fare allerjeni değil) maruziyeti rinit için bağımsız bir risk faktörü olarak bildirilmiştir.
Ergenler arasında astım sonuçlarını iyileştirmek için davranışsal müdahalelerle ilgilenen sistematik bir literatür incelemesi, dahil olma kriterlerini karşılayan 24 makale belirlemiştir. Günlük kontrol eden medikasyonlar için astımı kendi kendine yönetmeyi ve adheransı iyileştirdiği bulunan yaklaşımlar, okul tabanlı interaktif öğrenme ve ilaç alımının doğrudan gözlemlenmesini içermekteydi. Allerjistler/immünologlara burada verilen mesaj ICS kullanımını objektif olarak gözlemlemek ve adheransı iyileştirmek için geri dönüt sağlamaktır.
Ergenlik döneminde sağlıkla ilişkili yaşam kalitesi astım ile özellikle de kontrol altına alınmamış astımı olanlarda azalmaktadır. Hastalığın olmadığı durumlarda bile ergenlik çağındaki genel zorluklar göz önünde alındığında, gençlerin yaşam kalitesini arttırmak ve ergenlik dönemi zorluklarıyla daha iyi başa çıkmalarını sağlamada astım kontrolünü iyileştirmeye daha fazla dikkat verilmesi gerekmektedir.
Astım uzman bakımı astım sonuçlarını iyileştirse de, birincil bakım doktorları tarafından sağlanan astım bakımı kalitesinin önemi bilinmemektedir. Astım bakımındaki büyük değişimler, 6.9-2.7 yaş arasındaki (%21.6’sı 5 yaşından büyüktür) astımlı 948 çocuğun bakımından sorumlu 22 adet birincil bakım uygulamalarında belgelenmiştir. Önleyici ve akut astım bakımı sağlayan uygulamalardan bakım gören astımlı çocuklar, daha fazla semptomsuz gün geçirmiş ve potensiyel karıştırıcıların kontrolünden sonra astım acil servis bölümünü (ED) daha az ziyaret etmiş ve hastaneye daha az yatmıştır. Açık bir biçimde, temel bakım doktorlarının astımlı hastalarında sonuçları iyileştirmek için kılavuz önerileri benimsemeleri gerekmektedir.
Adherans optimal bakım için önemli bir engel olarak kalmıştır. Zayıf adherans için yeni fark edilen bir sebep, ICS kullanımıyla ilgili aile raporları ve doktorların niyetleri arasında ailelerin yarısında uyuşmazlık olan 740 aile arasında raporlanmıştır. Bu uyuşmazlık ile ilgili faktörler Latin etnik köken, ev içinde sigara içme ve ICSlerin etkisiz olduğu izlenimlerdir. ICS kullanımındaki bu tutarsızlıkları azaltmak için tedarik eden ve aile arasında gelişmiş iletişim gereklidir.
Yetişkinlerde olduğundan daha az yaygın olmasına rağmen, aspirinle şiddetlenen respiratör hastalık (AERD), spesifik komorbiditeleri olan astımlı çocuklarda göz önüne alınmalıdır. Aspirin yüklemeleri, astım ve konkomitant nazal polipleri ve siklooksijenaz-1 inhibitör intoleransı olan 7, 12 ve 16 yaşlarındaki 3 hastanın vaka serilerinde AERD’yi onaylamıştır. AERD teşhisi hastalığa yönelik tedavilere izin verir.
Castro-Rodriguez ve çalışma arkadaşları, çocuk astımı için risk kanıtlarını ve koruyucu faktörleri incelemiştir. Prenatal faktörler (n=9), perinatal faktörler (n=5) ve postnatal faktörlere (n=27) odaklanan, dahil etme kriterlerini karşılayan 41 sistematik değerlendirmeyi incelemiştir. Çocukluk astımı için tartışmasız ve önceden tanınmış olarak tanımlanan risk faktörleri parental astım, parental çevrede tütün dumanına maruz kalma ve prematüritedir (özellikle çok erken doğum). Sistematik incelemeleri ayrıca çocukluk astımıyla olan hafif-orta ilişkilerle birlikte birkaç değiştirilebilir davranışlar ve maruz kalmalar belirtmiştir. Bunlar, maternal prenatal faktörleri (kilo alma veya obezite, antibiyotik veya asetaminofen kullanımı ve stress), perinatal faktörleri (sezaryen doğum) ve postnatal faktörlerini (şiddetli respiratör sinsisiyal virüs enfeksiyonu, obezite, kapalı mekanda küfe maruz kalma ve dış mekanda hava kirliliği) içerir. Onay için ileri müdahale veya prospektif çalışmalar gereklidir. Yukarıda belirtildiği gibi çocukluk astımı için muhtemel nedensel bir risk faktörü olmasının yanı sıra, obezite 2-18 yaş arasındaki çocuklarda 70.844 adet astım hospitalizasyonu çalışmasında mekanik ventilasyona, maliyet artışına (yaklaşık 1.600 $) ve ortalama kalış süresinin neredeyse 1.6 kat artmasına katkıda bulunmuştur.
|
Kullanılan kısaltmalar
AA- Alkilleştirilmiş Androjenler
AAAAI- Amerika Alerji, Astım ve İmmünoloji Akademisi
ABPA- Alerjik bronkopulmoner aspergilloz ACT- Astım Kontrol Testi
AERD- Aspirinle şiddetlenen respiratör hastalık
-gal- Galaktoz-alfa-1,3- Galaktoz
CARE- Çocuk Astım Araştırma ve Eğitim Ağı
CHARGE sendromu- Kolobom, kalp hastalığı, koanal atrezi, büyüme/zihinsel gerilik,
genitoüriner malformasyon, kulak anormallikleri
COPD- Kronik obstrüktif akciğer hastalığı
CRS- Kronik rinosinüzit
CU- Kronik ürtiker
CVID- Yaygın değişken immün yetmezlik
DOCK8- Sitokinesiz 8 vericisi
DRESS- Eozinofili ve sistemik semptomlar ile ilaç rekasiyonu
ED- Acil servis bölümü
EGPA- Poliyanjit ile eozinofilik granülomatoz
EoE- Eozinofilik özofajit
FPIES- Gıda proteini kaynaklı enterokolit sendromu
HAE- Herediter anjioödem
HES- Hipereozinofilik sendromlar
ICD-9- Uluslararası hastalık sınıflandırması-dokuzuncu inceleme
ICS- Kortikosteroit inhalasyon
LABA- Uzun etkili b2 agonistleri
LTE4- Lökotrien E4
MCID- Klinik olarak önemli düşük faklılık NAID- NOD2 ile ilişkili inflamatuar hastalık NAEPP- Ulusal Astım Eğitim Önleme Programı
NOD2- 2’yi içeren nükleotid-bağlayıcı oligomerizasyon bölgesi
NSAID- Steroid yapıda olmayan anti inflamatuar ilaç
OCS- Oral kortikosteroidlerler
OFC- Oral besin yükleme
PID- primer immünyetmezlik hastalık RDD- Hızlı ilaç duyarsızlaşma
SABA- Kısa etkili b2-agonistleri
SLIT- sublingual immünoterapi SCIT- subkütanöz immünoterapi
STAT-1- transkripsiyon 1’in sinyal transdüktörü ve aktivatörü
|
Yetişkin Astımı
Astım yönetimine yardım etmek için çeşitli araçların geçerlilik çalışmaları geçtiğimiz yıl dergide yayınlanmıştır. Globe ve çalışma arkadaşları günlük Astım Semptom Günlüğünün psikometrik özelliklerini doğrulamış ve kalıcı astımın klinik denemelerinde semptom sonuçlarının belirlenmesine yardım etmek için düşük önemi olan farklılığı raporlamıştır. Astım Kontrol Testinin (ACT) değiştirilmiş bir versiyonu olan Gebelik Astım Kontrol Testi telefonla 159 hamile astimatikler tarafından onaylanmıştır ve şuanda bu hastaları izlemek için klinik olarak kullanılabilmektedir.
Basit, noninvaziv ve tekrarlanabilir bir teknik olan akciğer sesi analizinin, hafif-orta derecede astımı olan 31 yetişkindeki havayolu inflamasyonu ve bronkodilatör cevaplanabilirlik ile ilişkili olduğu bulunmuştur. Spirometri ile kıyasla klinik faydası ileri çalışmalar gerektirmektedir.
Yetişkin astımında depresyon, hipertansiyon, kronik sinüzit, kadın cinsiyet, obezite ve beta reseptör polimorfizmleri gibi daha kötü sonuçların risk faktörleri raporlanmıştır. 2007-2012 Ulusal Sağlık ve Beslenme İnceleme Araştırması kullanan 20,271 yetişkinin kesitsel bir çalışması, depresif semptomların önemli ölçüde ve lineer olarak astımla ilişkili olduğunu ve aksiyete ve diğer potansiyel karıştırıcılardan bağımsız olduğunu bildirmiştir. Önemli biçimde, astımatikler arasında bronkodilatör yanıt majör depresyonlu hastalarda önemli ölçüde azaltılmıştır. Geniş bir sağlık bakım kuruluşunda değerlendirilen yaklaşık 120.000 yetişkin astımatiğin retrospektif bir durum kontrol analizinde, hipertansiyonu olmayan astım hastalarına kıyasla hipertansiyonu olan astım hastalarının, aşırı kurtarma bronkodilatörü kullanımı, astım ED ziyaretleri veya hospitalizasyonu ve hazırlanan OCS dahil olmak üzere artan astım morbiditesinin çok değişkenli analizlerinde kanıt göstermiştir. Astım hospitalizasyonu için artan risk, kronik rinosinüziti olan 1344 hastanın retrospektif bir veri tabanında nazal polipozislerin ayrı bir fenotipi, anozmi ve AERD kanıtı gösteren refrakter kronik rinosinüzitli Afro-Amerikalılar arasında raporlanmıştır. Astım eksaserbasyonları için 4.3 milyon ED ziyaretlerinin ulusal temsili bir örneği arasında, hospitalizasyon sıklığında cinsiyet farklılıkları bildirilmiştir. 4-11 yaşlarındaki küçük çocuklar ve 18-64 yaşlarındaki yetişkinler arasında kadınlar artan hospitalizasyon riski gösterirken, karıştırıcılar düzeltildikten sonra 12-17 yaş arasındaki kadınlarda tam tersi durum görülmüştür. Obeziteyle ilgili hastalık yükündeki artış, obez ve kilolu kortikosteroid dirençli astım hastalarında raporlanan kortikosteroid farmakokinetik anormalliklerle kısmen açıklanabilir. Son olarak, adrenerjik beta-2 reseptörün Arg/Arg polimorfizmi için homozigotluğun, astım kontrolü için gerekli olan Astım İçin Global Girişim basamak tedavisine dayalı olarak kohortu şiddetli (n=33) – hafif-orta (n=51) astımla kıyaslayarak alerjik astım şiddetiyle ilişkili olduğu belirtilmiştir. Genetik polimorfizmlerin astımlı hastaları fenotiplemede faydalı olup olmadığını belirlemek için ileri çalışmalara ihtiyaç vardır. Gerçek dünyadaki yönetilen bakım ortamında, kontrol altına alınmamış şiddetli astımı olan hastaların %2.3’ünde, kalıcı astımı olan 25,935 ergen ve yetişkin kohortu arasında klinik ve ekonomik yük belirlenmiştir. Bu retrospektif çalışmadaki izleme yılı boyunca, yüksek dozlu kontrol eden tedaviye rağmen kontrol altına alınmamış şiddetli hastalar, kontrol altına alınmamış şiddetli olmayan hastalardan önemli oranda fazla astım eksaserbasyonu, aşırı kısa süreli b-2 agonist (SABA) kullanımı ve daha yüksek tüm nedenlere ve astıma bağlı maliyet sergilemiştir. Astım medikasyonları, total astımla ilişkili maliyetlerde maliyet artışının büyük farklılıklarının nedenlerini açıklamıştır. Kronik obstrüktif pulmoner hastalığı (COPD) teşhisi koyulan kalıcı astımlı yetişkin hastaların hastalık yükü geniş bir retrospektif yönetimsel veri tabanı kullanılarak raporlanmıştır. Sadece kalıcı astımı olan hastalara kıyasla kalıcı astım ve COPD teşhisi olan hastalar önemli oranda daha fazla komorbidite (gastroözofageal reflü hastalığı, pnömoni, kronik sinüzit ve nazal polipzis), bozulma ve riske dayalı kontrol altına alınmamış astım için daha fazla belirtici ve astım tedavisinin konkominant yüksek yoğunluğunu sergilemiştir. Ek olarak, kalıcı astım ve COPD teşhisi olan hastaların artan kan eozinofil seviyeleri, COPD teşhisi olan veya olmayan kalıcı astımlı hastalar arasında yaygın bir inflamatuar bileşen ortaya koyarak, gelecek astım eksaserbasyonları için bağımsız bir risk faktörüydü. AERD, önemli bir astım fenotipini yansıtır. Respiratör hastalığı değerlendirmek amacıyla spot üriner lökotrien E4 (LTE4) faydasını genişletmek için Divaker ve çalışma arkadaşları, 24 saatlik LTE4 belirlemesinin, AERD için bir öngörücü olarak görev yapması için güvenilir ve basit bir test olduğunu göstermiştir. 166 pg/mg kreatinin LTE4 kesme değeri, ‘zorluğu onaylanmış’ aspirin duyarlılığını teşhis etmede %92’lik bir spesifiklik göstermiştir.
Miyokardiyal infraksiyonlu 543 hastanın nüfusa dayalı retrospektif durum kontrol çalışmasında ve miyokardiyal infraksiyon olmayan eşleştirilmiş kontrollerde, aktif astım COPD’de dahil olmak üzere çoklu orta değişken ayarlamalardan sonra miyokardiyal infraksiyon ile (olasılık oranı [OR] 2.3, %95 güven aralığı [CI], 1.1-4.8) oldukça ilişkilidir. Astım kontrolü ve medikasyonların miyokardiyal infraksiyon ile olan ilişkisini değerlendirmek için onay gereklidir.
Bir anti-IgE olan omalizumab, yetişkin ve çocuklardaki yüksek dozlu geleneksel kontrol edici medikasyona rağmen, orta-şiddetli kontrol altına alınmamış astım tedavisi için değerli bir biyolojik olarak faydası dokunmuştur. Omalizumab tedavisinin adaylığı ve dozajının belirlenmesi kısmen total IgE’nin serum seviyesine bağlıdır. Hatipoğlu ve çalışma arkadaşları, alerjik astımı olan 17 orta-şiddetli yetişkinde her 2 ayda bir ölçüldüğünde serum IgE’si değişkenliğini bildirmiştir. En az % 10'luk bir değişim yaşanma olasılığı % 69'dur ve tedavi veya dozaj için aday belirlemedeki klinik kararlar 17 hastanın 7’sinde (%41) IgE değişkenliğinden etkilenmiştir. Buna rağmen, araştırmacı, omalizumab tedavinin randomize bir plasebo kontrollü denemede alerjik bronkopulmoner aspergillozda (ABPA) etkili olacağını raporlanmıştır. Yakın zamanda, 3 hastada omalizumab tedavisi sırasında ABPA eksaserbasyonu, toplam serum IgE düzeylerinin en az iki katına çıkması ile ilişkiliydi ve başka bir olgu sunumunda, ABPA için omalizumab tedavisindeki etkililik, total serum IgE'sinin önemli bir azalması ile eşlik edilmiştir. Bu bulgular, daha geniş doğrulayıcı çalışmalara ihtiyaç olmasına rağmen ABPA'nın omalizumab tedavisi sırasında, serum IgE'sinin izlenmesini desteklemektedir. Omalizumabın, geçtiğimiz yılda, periferal eozinofili, astım ve kronik rinosinüzit ile ilişkili refrakter vasospastik anjinası olan 68 yaşında bir kadında etkili olduğu bildirilmiştir.
Astım tedavisi, birkaç 2016 Dergi makalelerinde vurgulanmıştır. En zengin
sülforafan kaynağı, antioksidan gen dışa vurumunun güçlendiricisi olan brokoli filizlerinin, alerjik astımlı hastalarda pilot bir çift-kör, plasebo kontrollü çalışmada fraksiyonel nefes verme nitrik oksit seviyelerini, spirometriyi, ACT skorlarını, yaşam skorlarının rinit kalitesini veya oksidatif stres biyogöstergelerini iyileştirmediği bulunmuştur. Kontrollü kalıcı astımlı 247 yetişkin ve çocuğun 40 haftalık randomize sahte kontrollü bir çalışma, kapsamlı bireyselleştirilmiş ev alerjeninden kaçınma girişiminin yatak odasındaki bütün kedi, köpek ve ev tozu akarının ölçülen allerjen seviyelerini ve mutfak ve banyodaki hamamböceği allerjen seviyelerini azalttığı raporlanmıştır. Ne yazık ki, çevresel müdahale ile astım sonuçlarını iyileştirmede zorlukları vurgulayarak, NAEPP tabanlı basamak bakım seviyesinde önemli bir azalma yoktu.
Uzun süreli antimuskarinik ajan tiotropiumu 2015 Eylül’de astım tedavisi için FDA onayı almıştır. Çift-kör, plasebo kontrollü aşama III 12 haftalık doz aralığı çalışması, kontrol altına alınmamış astımı olan yetişkinlerde düşük-orta doz ekleme tedavisi olarak, 2.5 mcg ve 5 mcg Respimat olarak verilen günlük dozda tiotorpiumun bronkodilatör etkililiği, güvenliği ve tolere edilebilirliğini göstermiştir. Her iki dozaj da, düşük-orta doz ICS’de kontrol altına alınmamış yetişkin astimatiklere verilen tiotorpium faydasının belgelendirilmesini genişleterek, plaseboya kıyasla 1 saniyedeki ekspiratör hacmini ve pik akım oranlarını arttırmıştır.
ICS/uzun süreli b2 agonisti (LABA) kombinasyonu, ICS monoterapisi, LABA monoterapisi veya plasebo budesonid alan orta-şiddetli astımlı 336 hastanın 12 haftalık klinik denemesi boyunca akciğer fonksiyonunun post-hoc analizinde, sabit hava yolu obstrüksiyonunun %29 oranında kalıcı, %31 oranında tutarsız ve %40 oranında sabit olmadığı bulunmuştur. Önceden tanımlanan advers astım etkilerinden dolayı çalışmanın geri çekilmesi, kalıcı veya tutarsız sabit hava yolu obstrüksiyonu olan hastalarda daha sıktı. Astım, önceden Churg-Strauss sendromu olarak adlandırılan poliyanjitli eozinofilik granülomatoz sendromunun önemli bir bileşenidir. Latorre ve çalışma arkadaşları, düşük doz OCS ve bağışıklık düzenleyici ilaçlardaki sistematik dahil olmadan kısmen veya tamamen azalması olan EGPA’lı 37 hastayı tanımlamıştır. Unutulmamalıdır ki, sistematik semptomları kontrol altında olmasına rağmen, zayıf bir şekilde kontrol altına alınmış astım 21 hastada belgelenmiştir (%56.7) ve bu hastaların yarısı inhalasyon kortikosteroidler almamaktaydı. Neredeyse bütün hastalar nazal hastalık da göstermiştir. Yazarlar, EGPA’lı hastalarda respiratör hastalığı kontrol altına almak için spesifik inceleme ve hedeflenen tedaviyi önermektedir.
Küfe maruz kalma ile ilişkili astım klinik bakımda büyük bir zorluktur. Bu önemli konuyla ilgili bilgi ve klinik becerileri arttırmak için, Küf Alerjisi ile ilgili 2016 Mayıs/Haziran’da bir sayı yayınladık. Bu konuyla ilgili Klinik Yorum incelemeleri, kapsamlı bir şekilde a) allerjenik fungalın güncellenen taksonomi sınıflandırmasını, b) fungal ürünlere karşı doğuştan veya adaptif immün yanıtlarını, c) fungalın insanlar üzerindeki sağlık etkilerinin görüntüsünü, d) şüphelenilen fungal hassasiyeti olan hastaların klinik değerlendirmesi ve yönetimini, e) potansiyel küfe maruz kalma için ev değerlendirmelerine ne zaman izin verileceğini belirlemek için yol gösterici ilkeleri ve f) spesifik ev değerlendirme ve iyileştirme faaliyetlerini tanımlar.
Astım medikasyon adheransı ve kendi kendine yönetme
Tedaviler için makul adherans olmadan kronik hastalık kontrolünün yararsız olduğu ve astımın istisna olmadığı herkes tarafından bilinen bir gerçektir. Objektif ölçümler kullanılarak yapılan 10 pediatrik astım adherans çalışmasında, adherans seviyesi 1996’dan 2015’e kadar 20 yıl boyunca küçük bir değişiklikle beraber %19 ila %64 arasında değişmektedir. Doğru astım spreyi kullanımındaki zorlukların belgelenmesinde, sayısal prospektif bir gözlemsel çalışma ve astımlı (n=82) ve COPD’li (n=21) yetişkinlerde astım spreyi kullanım tekniği yürütülmüştür. Bu çalışma, bir ayda alınması beklenen 60 dozdan sadece 34’ünün düzgün bir şekilde alındığını raporlamıştır. Bu veriler, etkisiz ve düzensiz astım spreyi kullanımını vurgulamaktadır. Astım yönergelerinin geniş yayılımına rağmen, astım için kontrol edici medikasyonların yetersiz kullanımı, astımla ilgili hospitalizasyonu gerektiren 275 hastanın çalışmasında onaylanmıştır. Hospitalizasyondan 12 ay önce hastalarda astım kontrol edici medikasyonun hazırlanması <1 hazırlama ile %63.6, sık ICS/LABA hazırlaması ile %32.4 ve sabit olmayan kombinasyon hazırlamalarında ICS’den daha fazla LABA ile %4 idi. İki çalışma da, ICS için uzun süreli adherans zorluklarını vurgulamıştır. Laforest ve çalışma arkadaşları, bir yıllık sürede hastaların yalnızca %25’inin devamlı olarak ICS kullandığı 6-16 yaşlarındaki 5096 hastanın kohortunu raporlamıştır. Benzer olarak, astım veya COPD’li 11.774 ergenin ve yetişkinin 2 tür ICS/LABA verme sistemleri tedavisi kalıcılığının retrospektif bir analizi, 12 aylık takip boyunca 2 cihazda %22.9 ve %10.5 oranında geriye çekilerek oldukça zayıf bir adherans göstermiştir.
Adheransın önemi ve astımda adheransı iyileştirmedeki zorluklar göz önüne alındığında Respiratör İlaç Adheransı için bir Tema Sayısı verdik. Bu incelemeler çeşitli adherans bölgelerini kapsamıştır, bunlar; a) adherans terminolojisi, davranışsal özellikler ve değerlendirme yöntemlerine ilişkin detaylar, b) adherans verimi ve doğru astım spreyi kullanımındaki zorlukların inhalasyon medikasyon modu ilişkisi, c) ergenler ve yaşlılardaki zorlukları vurgulayarak yaş spektrumu ile adherans belirleyicileri ve d) sağlık hizmetleri kuruluşları ve sistemleri arasındaki repiratör medikasyonlara adheransı arttırmak için uygun maliyetli stratejiler.
Ayrıca, adherans tema sayısında, pratik ve araştırma için çıkarımlarla beraber yeni bir Astım Bakımı Modelinin teşhisten tedavi talimatlarına, ilaç maruziyetine ve sağlık sonuçlarına kadarki olayların sıralamasının haritalanmasına dayalı olduğu belirtilmiştir. Bu olaylar daha sonra medikasyon adheransı, semptom gözlemi, tetikleyicileri yönetme ve eksaserbasyonlarla ilgili olarak hasta davranışlarıyla ilişkilendirilmiştir. Astım Bakım Modelinin amacı, araştırma kanıtlarını oluşturmak ve bunları astım bakımına aktarmaktır.
Çeşitli raporlar astımda kendini yönetmeyi en iyi duruma getirmek için eğitim programlarının yararlarını desteklemiştir. Bir rapor, her iki astım öz-yönetim eğitiminin (9 program) ve ev tabanlı müdahalelerin (17 program) astım kontrolünü iyileştirdiğini ve eksaserbasyonları azalttığını ve birçoğu yatırımda olumlu dönüşler aldığı için ekonomik olarak uygundur. Bu bulgularla uyumlu olarak, önce ve sonra tasarımı olan elektronik astım öz yönetim programı, kontrol altına alınmamış kalıcı astımlı 44 genç Afro-Amerikalı yetişkinde 6 hafta sonra astım kontrolünde ve yaşam kalitesinde önemli gelişmeler raporlamıştır.
Gerçek zamanda astımlı hastaları izleyen tele sağlık stratejileri astım sonuçlarını iyileştirebilir. Böyle bir sistem, hastaya ve sağlayıcıya gerçek zamanlı olarak mobil uygulamalar yoluyla SABA kullanımı ileten ve doz ayarlı astım spreyine oturan bir sensor kullanarak SABA kullanımını değerlendiren Propeller Health tele izleme sistemidir. Astımlı 495 çocuk ve yetişkinde yapılan 1 yıllık randomize çalışma, aktif vs. pasif izleme ile SABA kullanımında önemli fakat küçük bir azalma raporlamıştır (günlük sırayla 0.41 ve 0.31 solunum azalması, P<.001). Başlangıçta kontrol altına alınmamış astımı olarak daha fazla hasta müdahale (%63) vs. rutin bakım (%49) grubunda kontrol elde edilmiştir (P < .05). Bununla beraber, hastaların yalnızca %56’sı çalışma bulgularının kesinliğini sınırlayarak çalışma boyunca izlemeyi tamamlamıştır. Medikasyon hatırlatıcılı bir akıllı telefon uygulaması kullanarak, yönerge tedavisinde kontrol altına alınmamış astımı olan 40 yetişkinde önceden ve sonradan tasarlanan 4 aylık bir çalışma, astım kontrolü (ACT) ve spirometride önemli ilerlemeler raporlamıştır. Baptist ve çalışma arkadaşları, azınlık ve şehir içi astımlı çocuklar ve ergenlerde davranışsal değişiklik için teknolojik müdahalelerin, semptom izlemelerin, eğitimin veya karar vermenin etkileri üzerine 16 makalenin sistematik bir incelemesini yürütmüştür. Bu çalışmalardaki teknolojik müdahaleler, MPEG ses katmanı-3 oynatıcıları, kısa mesajlar, bilgisayar/internet tabanlı sistemler, video oyunları ve etkileşimli ses tepkisi kullanımını içermekteydi. Genel olarak, bilgi kazanmada, tedavi adheransında, astım semptomlarında ve yaşam kalitesinde mütevazı gelişmeler gözlenmiştir ancak astım sağlık hizmeti kullanımında gözlenmemiştir. Bu tele sağlık ve davranışsal müdahale çalışmalarının pozitif bulguları cesaret verici olsa da, daha kesin randomize klinik denemelere ihtiyaç vardır.
RİNİT VE RİNOSİNÜZİT
Rinit ve sinüzit toplum içinde oldukça yaygındır ve muhtemelen alerji-immünoloji klinisyenlerinin karşılaştığı en yaygın problemdir. Buradaki zorluk ve fırsat, bu durumlardan kaynaklı var olan yaşam kalitesi bozukluğunu azaltmaktır. Alerjik rinit için uzak durma ölçümleri, medikasyonlar ve immünoterapi kombinasyonları oluşturduk. Uzak durma ile ilgili olarak, Kenney ve çalışma arkadaşları kişisel bir kaçınma şekli üzerinde çalışmıştır. Mevsimsel alerjik riniti olan 1073 katılımcıda mevsimsel alerjiler için önleyici etkileri olduğu bulunan yeni bir nazal filtrenin gözlemsel bir açık çalışmasını yürütmüştür. 834 yeni kullanıcıdan 630’u bu tedavi şeklinin uygun ve kullanımının kolay olduğunu ve alerjik riniti olan birçok hastada semptom yönetimi için klinik olarak ilişkili olabileceğini belirterek filtrelerin devamlı kullanımıyla ilgili olduklarını raporlamıştır.
Medikasyon etkililiğini değerlendirmenin önemli bir açısı, ilgili sonuç ölçümlerinde neyin klinik olarak anlamlı ilerleme oluşturduğunu belirlemektir. Meltzer ve çalışma arkadaşları, yaygın olarak kullanılan rinit çalışması sonuç ölçümü olan total nazal semptom skoru için klinik olarak en az önemli olan farklılığı (MCID) belirlemek için bağlantı tabanlı ve dağıtım tabanlı yöntemler sunmuştur. Ortaya çıkan MCID eşikleri, 3 adet yayınlanan çalışmada retrospektif kullanımlarıyla ‘doğrulanmıştır’ ve önceden önerilen MCID eşiklerinden üstün olduğu görünmektedir.
Alerjik rinit için immünoterapinin etkililiği iyi oluşturulmuştur. Geçtiğimiz yıl JACI: pratikte dergisinde yayınlanan çalışmalar immünoterapinin güvenliği ile ilgili ek bilgiler sağlamıştır. Maloney ve çalışma arkadaşları, 102 hastada çimen ve kanarya otu sublingual immünoterapi (SLIT) ile ikili tedavi üzerinde çalışmıştır. Şu dizinin iyi tolere edildiğini bulmuşlardır; 1) 2 hafta boyunca akşamları çimen, 2) 2 hafta boyunca sabahları kanarya otu, akşamları çimen ve 3) hasta tarafından seçilen bir günde birbirinden 5 dakika sonra 2 hafta boyunca çimen ve kanarya otu. Diğer bir güven verici makale, subkütanöz immünotedavinin (SCIT) ve SLIT’in mevsimsel başlangıcının mevsim dışı başlangıç veya plaseboyla kıyasla advers etkilerin riskini arttırmadığı sonucuna varan sistematik bir incelemeydi.
Sistemik reaksiyonlar immünoterapinin iyi bilinen risklerinden biridir. Avantaj/dezavantaj inceleme analizinde, Fitzhugh ve Bernstein epinefrin otoenjektörlerin SCIT’de bütün hastalara yazılıp yazılmaması gerektiği üzerinde tartışmıştır. Bu uygulamayı önermek veya bu uygulamaya karşı çıkmak için klinik kanıtların yetersiz olduğu sonucuna varmışlardır. İmmünoterapinin daha az yaygın advers etkisi, polen yönetimi için SCIT alan 16 yaşındaki bir kızda Nicolau sendromu, doku hasarı ve medikasyonla ilişkili nekroz durum raporunda tanımlanmıştır. Son olarak, 126 hastayla yapılan bir çalışma, bitki türleri arasında oldukça benzer moleküller olan panalerjenlere karşı duyarlılaşma için bir belirteç olarak yerli olmayan bir ağaca karşı duyarlılaşmayı değerlendirmiştir. Bu yerli olmayan ağaca karşı duyarlılaşmanın, muhtemelen panalerjen plorifin içeriğinden dolayı, artan sayıdaki diğer aeroalerjenlere karşı duyarlılıkla önemli oranda ilişkili olduğunu bulmuşlardır. Yazarlar, çoklu duyarlılığı olan hastalar için, profilin bileşenlerinin aşırı dozajı olmadan immünoterapiye karşı immün yanıt için gerekli olan total profilin miktarını inceleyen çalışmaların etkililiği korurken polen immünoterapi güvenliğinin arttırılmasına yardım edebileceğini söylerler.
Rinosinüzit için, astım gibi, fenotipler üzerine ve hastanın fenotipine en uygun tedaviyi uydurma üzerine artan bir odak vardır. Bu durum, kronik rinosinüzitin (CRS) fenotiplerine ayrılmış Temmuz/Ağustos JACI: Pratikte tema sayısında vurgulanmıştır. Klinik olarak ilişkili mevcut bilgilerin özetlenmesine ek olarak, bu konudaki bütün CRC inceleme makaleleri araştırma sorularını ve gelecek yönergeleri tanımlamıştır. Nazal poliplerle CRS incelemelerinde, Stevens ve çalışma arkadaşları patojenezin açık bir şekilde tanımlanmadığını ancak çok faktörlü olabileceğini ve bu fenotipin sıklıkla astım ve alerjik rinit ile ilişkili olduğunu ifade etmiştir. Medikal tedavinin dayanak noktası nazallar arası ve enfeksiyöz eksaserbasyonun oral kortikosteroidleri ve tedavisidir. Nazal poliplerle CRS’nin alt kümesi olan streoid yapıda olmayan anti inflamatuar ilaç (NSAID) ile şiddetlendirilen CRS Ledford ve Lockey tarafından yazılan bir makalede vurgulanmıştır. NSAID ile şiddetlendirilen CRS, nazal polipleri olan hastaların %15 ila %40’ında, CRS’li hastaların %5 ila %10’unda meydana gelmektedir. Bu hastalık, lökotriendeki kronik bir artışla ve prostaglandin üretimindeki azalma ile ilişkilidir ve düzenli aspirin alımını takiben aspirin desensitizasyonu ile iyileştirilebilir. Nazal polipleri olmayan CRS, bu fenotipin nazal polipleri olan CRS’den daha yaygın olduğunu belirten ve birçok zemin hazırlayan durumları ve faktörleri tanımlayan Cho ve çalışma arkadaşları tarafından tartışılmıştır. Bu durumun nötrofili, eozinofili veya her ikisiyle karakterize edilip edilmediğine ilişkin çelişkili verilerin olduğunu belirtmişlerdir. Bose ve çalışma arkadaşları, etiyolojinin viral üst respiratör enfeksiyonu yaygın olarak karmaşık hale getiren sekonder bir bakteriyel enfeksiyon olduğunu belirterek enfeksiyoz CRS üzerinde tartışmıştır. Enfeksiyoz CRS antibikrobiyaller, topikal veya oral kortikosteroidler ve nazal salinlerle tedavi edilebilir. Antibiyotikler ayrıca, Bachert ve Hamilos tarafından yapılan avantaj/dezavantaj incelemesinde tartışıldığı gibi anti inflamatuar rollere de sahip olabilir.
Hoyt ve çalışma arkadaşları, tanı koymak ve ameliyat sonrası oral kortikosteroidlerin ve muhtemel antifungal tedavinin rolünü belirlemek için klinik, patolojik ve radyolojik kriterler de dahil olmak üzere alerjik fungal rinosinüzitin bir incelemesini sunmuştur. Tema sayısı ayrıca alerjik fungal sinüzitin radyolojik özelliklerini gösteren Alerjide İmgeler özelliği içermekteydi. Sıklıkla ilişkili olan daha fazla nörofilik nazal polipler ve topikal antibiyotiklerin potansiyel değeri de dahil olmak üzere kistik fibrozisli hastalarda CRS Hamilos tarafından incelenmiştir. Naclerio ve Baroody anatomik anormallikler, siliya motilite defektleri, alerjik duyarlılaşma, immün yetersizliği, dental enfeksiyonlar, gastroözofageal reflü hastalığı, otoimmün hastalıkları ve sigara içme de dahil olmak üzere CRS ile diğer ilişkiler üzerinde tartışmıştır. Bu yazarlar daha sonra CRS için bir yönetim algoritması sunmuştur. CRS çeşitli fenotiplerde ayırt edilebilse de, bu fenotipler hedeflenen tedaviye izin veren inflamatuar mekanizmaları özellikle tanımlamaz. Patomekanizmalara dayalı CRS endotipleri bu bilgiyi sağlayabilir ve CRS’nin ortaya çıkan endotipleri, T yardımcı hücreler çevresindeki yapılar ve bunların akıntı yönündeki olayları Bachert ve Akdis tarafından değerlendirilmiştir. Son olarak, Cho ve çalışma arkadaşları teşhis, fenotiplerin belirlenmesi, görüntüleme çalışmalarının en iyi şekilde kullanımı ve standart (glükokortikosteroitler ve antibiyotikler) ve daha yeni (biyolojik ajanlar) tedavilerin en iyi şekilde kullanımıyla ilgili spesifik yönerge ile hepsini birleştirmiştir.
Geçtiğimiz yıl yayınlanan iki diğer makale, CRS ve nazal poliplerle ilgili yeni bilgiler sağlamıştır. Mahdavinia ve çalışma arkadaşları, kronik rinosinüzit tanısı olan 1344 hastanın retrospektif kohort çalışmasını yayınlamıştır. Bu yazarlar, Afro-Amerikalıların daha şiddetli hastalıklar ve daha sık nazal polipozis, AERD ve astım hospitalizasyonları geçirdiklerini göstermiştir. Yukarıda bahsedildiği gibi, 24 saatlik üriner LTE4 belirlemeleri geçiren 194 hastanın retrospektif bir incelemesi Divekar ve çalışma arkadaşları tarafından sunulmuştur. Çalışma, aspirin duyarlılığı için ayarlama yaptıktan sonra bile nazal polipleri olan CSR’li hastalarda yüksek seviyeler bulmuştur.
Rinosinüziti olan hastalar geçtiğimiz yıl dergideki 3 diğer makaleye dahil edilmişti. Hamada ve çalışma arkadaşları tarafından inhalasyon beklometason hidrofloroalkanın (astım için kullanılan) nazal eksalasyonunun semptomları ve eşlik eden CRS klinik tablosunu iyileştiren ilginç bir vaka bildirmiştir. Yazarlar, inhalasyon kortikosteroidlerin nazal eksalasyonunun basit kullanımının düşük maliyetli olarak üst ve alt hava yollarını eş zamanlı olarak kontrol etmede fayda sağlayabileceğini öne sürmüştür. Namazy ve çalışma arkadaşları, geniş bir retrospektif veri tabanı kohortunda gebelik esnasında sinüziti değerlendirmiştir. Önceki raporun aksine, hamile kadınların gebelik esnasında hamilelikten önceki ve sonraki yıllara kıyasla genel olarak üst respiratör enfeksiyonlar ve özellikle de sinüzit için antibiyotik alma ihtimallerinin daha az olduğunu bulmuşlardır. Hamilelikten önceki maternal astım, kronik rinit ve kronik sinüzit gebelikte antibiyotik kullanımı için risk faktörleriydi. Son olarak, pediatrik uyku apnesi sendromunun bir incelemesi alerjik rinit, alerjik olmayan rinit ve enfeksiyöz rinosinüzitin bu durum için risk faktörleri olduğunu belirtmiştir.
GIDA ALERJİSİ VE ANAFİLAKSİ
Bir dizi çalışma, araştırma ve klinik bakım için önemli konular olan gıda alerjisi ve anafilaksiye ve risk faktörlerine değinmiştir. Anafilaksi epidemiyolojisi ile
ilgili olarak, Lee ve çalışma arkadaşları her yıl hasta başına yıllık %8’lik reçete yazımı artışını belirterek, 2004-2010 yılları boyunca epinefrin otoenjektör reçetelendirme modellerini belirlemek için Olmsted, Minnesota kayıtlarını kullanmıştır fakat ilk zamanki reçetelendirme oranları sabitti. Bu artış, artan toplumsal farkındalığı, teşhisi veya artan hastalığı yansıtabilir. McGowan ve çalışma arkadaşları, gıda alerjenlerine karşı duyarlılaşmanın tekrarlama sıklığının süresini araştırmıştır. On yıl boyunca duyarlılaşma oranlarını karşılaştırmak için 1988-1994 ve 2005-2006 yıllarındaki Ulusal Sağlık ve Beslenme İnceleme Araştırmaları boyunca toplanan 6-19 yaşlarındaki çocuklarda serum gıdaya özgü IgE antikor seviyeleri sonuçlarından faydalanmışlardır. 7896 katılımcıyı dahil etmiş ve ≥0.35 kU/L duyarlılaşma seviyesini göz önüne alarak süt, yumurta, fıstık ve karides için sonuçları ölçmüşlerdir. Şaşırtıcı bir şekilde, gıda alerjisi tekrarlama sıklığında artış gösteren birçok çalışmaya rağmen, süt, yumurta ve fıstık duyarlılığının tekrarlama sıklığında önemli bir değişiklik yoktu ve karidese olan duyarlılık önemli derecede azalmıştı. Genel olarak, 2005-2006’daki %6.1’lik duyarlılaşmaya kıyasla 1988-1994’teki duyarlılaşma %11.2 idi. Gıda alerjisinin tekrarlama sıklığının arttığı görünürken duyarlılaşma oranı nasıl azalmaktadır? Basit bir açıklama ilerleyen tanı ve tedavi olacaktır. Bununla beraber, kişi duyarlılaşmanın klinik alerjiye denk olmadığını kabul ederse (bu konu aşağıda tartışılacaktır), daha ilginç bir açıklama duyarlılaşan kişiler arasında klinik alerjiyi kolaylaştırabilen beslenme düzeni ve ek çevresel etkilerle ilişkili davranışları göz önüne alır. Özellikle, sonraki araştırmalarda muhtemel faktör olan fıstığın ertelenen tanımı duyarlı bir durumu klinik alerjiye çevirebilir. Bu ilginç çalışma, genetik, çevre ve immün yanıtın kompleks etkileşimleri vurgulayarak, ırk ve etnik kökene dayalı farklı sonuçlar da öne sürmektedir.
Chang ve çalışma arkadaşları tarafından yapılan bir çalışma, besinleri yemeye maruz kalmayla alakalı olduğu için, duyarlı hale gelmiş kişiler arasında gıda alerjisinin klinik sonuçlarıyla ilgili bir fenomene açıklama getirmektedir. Kızarıklık yönetimi için atopik dermatitli çocukların beslenme düzeninden çıkarılan gıdalara karşı ani alerjik reaksiyonların sonuçlarını değerlendirmişlerdir. Çalışmaları 298 hastanın grafik incelemesidir ve önceden ani reaksiyon geçmişi olmayan duyarlılaşmış çocukların %19’unun eliminasyon diyetinden geçtikten sonra ani gıda reaksiyonları geliştirdiklerini bulmuşlardır. Bu rekasiyonların %30’u anafalksiyi içermekteydi. Klinik bakış açısından, bu gözlem, gıda eliminasyonu ile atopik dermatit tedavisinin yönetim esnasında düşünülmesi gereken yeni ciddi gıda alerjilerine neden olan riski vurgulamaktadır. Daha önce bahsedilen, yeme alışkanlıklarındaki değişimin klinik reaktivite olarak duyarlılaşmanın açığa çıkıp çıkmamasında önemli bir rol oynayabileceği hipotezine de destekleyici kanıt sağlamaktadır. Gerçekte, atopik dermatit bakımı sadece alerjen tetikleyicilere değil ayrıca irritanlara, inflamasyona, enfeksiyona ve pratisyen hekim ile işbirlikçi bir yaklaşımla iyileştirilebilen diğer yönlere de değinerek kapsamlı olmalıdır.
Duyarlılaşma ve klinik alerji arasındaki uyumsuzluk, gıda duyarlılaşma riskini ve gıda alerjisi ile probandın kardeşler için alerjisini değerlendiren Gupta ve çalışma arkadaşları tarafından yapılan bir çalışmada da vurgulanmıştır. En az bir kardeşi olan 1120 gıda alerjisi olan çocuğu değerlendirmişlerdir ve kardeşlerin %66.6’sının gıda duyarlılığı olduğunu ancak bunlardan sadece %13.6’sının klinik olarak reaktif olduklarını belirtmişlerdir. Bu çalışmadan alınan klinik mesaj, gıda alerjisi olan bir çocuğun kardeşlerinde yürütülen tarama testlerden vazgeçilmesi veya dikkatlice yapılması gerektiğidir çünkü genel popülasyondan biraz daha yüksek risk altında olan çocuklarda klinik olarak ilgisiz duyarlılaşma tespit etme olasılığı yüksektir.
Bu yıl yayınlanan birkaç çalışma, uygulamada dikkat edilecek durumlara, gıda alerjilerinin klinik özelliklerine kavrayış sağlamıştır. McWilliam ve çalışma arkadaşları, gıda çeşitliliğinin neden olduğu ishal, kusma, karın şişliği ve iritabilitesi olan ve sadece amino asit tabanlı bir formül ile tedavi edilebilen 38 bebeği tanımlamıştır. Bu bebeklerin çoğu sadece birkaç çeşit gıdayı başarılı bir şekilde yiyebilmekteydi ve birkaçı birlikte görülen gıda protein kaynaklı enterokolit sendrom (FPIES) yaşarken çoğu hiçbir duyarlılaşma belirtisi göstermemiştir. Yazarlar takibin birkaç yılı boyunca büyümenin normal olduğunu belirtmiştir ancak çocukların çoğu besinsel kısıtlamaya ihtiyaç duymaya devam etmiştir. Yazarlar bu bebeklerde oral tolerans gelişimi ile ilgili bir problemden şüphelenmiştir ve bu problemle ilgili çalışmaları daha fazla desteklemiştir. Gleich ve çalışma arkadaşları, hastaların IgE duyarlılaşması ile ilgili hiçbir kanıta sahip olmadığı ancak FPIES’nin tipik sendromlarını yaşadıkları (yukarıda belirtildiği gibi bu teşhis genellikle bebekleri ve küçük çocukları kısıtlamaktadır) karidese karşı gıda alerjisi olan 8 yetişkini tanımlamıştır. Bu yetişkinler karides yedikten yaklaşık iki saat sonra deri ve respiratör semptomların yokluğunda karın ağrısı ve kusma yaşamıştır. Roanneberg ve çalışma arkadaşları altta yatan hastalığın artan reaktiviteye sahip olabileceğini belirterek ve mastositozlü kişilerde reaksiyonların olağan dışı tetikleyicilerini göz önünde bulundurma gereksinimini vurgulayarak, acısız mastositozlü bir hastada galaktoz-alfa-1,3-galaktoza (alfa-gal) atfedilen ete karşı şiddetli gecikmeli anafilaksi durumunu tanımlamıştır. Kene ısırıkları, gıda alerjisine neden olarak alfa-gal duyarlılaşmasının birincil nedeni olarak kabul edilse de, McGain ve çalışma arkadaşları, kene ısırığı alerjisinin de mevcut olduğunu hatırlatmış ve bu nadir alerjiden kaynaklı 6 adet ölümü tanımlamıştır.
Gıda alerjisi tanıları ve bileşen test kullanımına odaklanan birkaç çalışma vardır. Örneğin, fındık alerjisi Cor 14’e IgE için testin klinik faydasını vurgulamıştır. En sonunda, oral gıda zorluğu (OFC) teşhis veya çözümün tanımlanması için gereklidir ve bu yıl 3 adet çalışma OFClerle ilgili olarak klinik kavrayışlar sağlamıştır. Sicherer ve çalışma arkadaşları, OFC sırasında reaksiyona yol açan bir alerjen alımının IgE’yi arttırabildiği ve alerji seyrini değiştirebildiği yaygın bir endişeye değinmek için Gıda Alerji Araştırması Birliğindeki 512 katılımcıdan elde edilen verileri kullanmıştır. Bununla beraber, reaksiyonlara neden olan yumurta, süt ve fındık OFCleri verileri (her gıda için n=20-27) ve doğal maruz kalma reaksiyonlarıyla ilgili veriler (n=377) serum IgE’si ve cilt testi boyutuna bağlı duyarlılaşma artışını göstermede başarısız olmuştur. Bu sonuçlar, OFClerin üstlenilmesinde bir miktar rahatlık sağlamalıdır. Ram ve çalışma arkadaşları, daha yaygın alerjenlere karşı bu grubun geçme oranına kıyasla (%45’lik geçiş oranı) testlerin %81’inin semptomlar olmadan geçildiğini belirterek, süt, yumurta, fıstık, soya fasulyesi ve buğdaydan daha az yaygın olarak test edilen gıdalara karşı merkezlerinde yürütülen 366 OFC’ye odaklanan veriler sunmuştur. Yazarlar bu verileri pratisyenlerin OFCleri uygulamalarını cesaretlendirmek için kullanmıştır. OFC esnasındaki reaksiyon riskleri iyi bilinmektedir ancak Ogura ve çalışma arkadaşları klinisyenlere akut pankreatitin nadir bir komplikasyon olduğunu hatırlatmıştır.
Bilgili bir klinisyen gıda alerjisi bakımının birçok özelliğinin ve anafilaksis belirlemesinin farkında olmalıdır ancak ne yazık ki işaretleme ve acil bakım gibi yaygın konular için bile eksiklikler mevcuttur. Gerçekte, ebeveynler yönetimde pediatristlerde ve alerjistlerde bazı eksiklikler algılamaktadır. Bakımın sıklıkla göz ardı edilen alanları beslenme ve psikososyal durumları içermektedir. Beck ve çalışma arkadaşları, Avustralya’da yapılan nüfusa dayalı bir çalışma olan HealthNuts çalışmasında takip edilen çocuklarda antropometrikleri değerlendirmiş ve gıda alerjisi ve/veya egzaması olan bebeklerin 1 yaşında hiçbir durumu olmayan çocuklardan daha küçük ve daha hafif olduğunu ve kalıcı gıda alerjisi ve kalıcı egzaması olan çocukların (kararlı alerjisi olan çocukların değil) 4 yaşında halen daha küçük ve daha hafif olduğunu bulmuştur. Bu nedenle, eş zamanlı gıda alerjisi ve egzaması olan çocuklar uygun egzama idaresi ve beslenme yönlendirmesi için yakından takip edilmelidir. Gıda alerjisini yöneten kişiler ve aileler için diğer bir problem yaşam kalitesi, anksiyete, zorbalık ve diğer psikososyal meseleleri göz önünde tutar. Herbert ve çalışma arkadaşları tarafından yapılan bir inceleme makalesi, gıda alerjisinin bu önemli yönünün uygun bir şekilde yönetilmesi için tanımlama, yönetme ve çocuklara ve ailelere danışma üzerine uygulanabilir tavsiye sağlamaktadır.
Gıda alerjisindeki belirli artışla beraber önleme stratejilerine yol açabilen risk faktörlerinin belirlenmesi birincil odak haline gelmiştir. Kütanöz duyarlılaşma güçlü bir potansiyel risk faktörüdür ve Radhakrishna ve çalışma arkadaşları, bu fenomenin yetişkinlerde meydana gelebildiği güçlü bir örnek sağlamıştır. Yulaf içeren cilt bakım ürünleri yoluyla yulafa karşı duyarlılaşan ve sindirilmiş yulafa karşı anafilaksi sahibi olan 30 yaşındaki bir kadını tanımlamışlardır. Çocuklukta yapılan aşı gıda alerjisi riskini değerlendirme için başka bir hedeftir, buradaki bir teori hücre içerenden hücre içermeyen boğmaca geçişin alerjik immün yanıtını çarpıttığıdır. Bununla beraber, Venter ve çalışma arkadaşları, aynı anda bulunma durumuna göre neredeyse rastgele olarak bir veya diğer aşı türlerinden alan 819 çocuğun kohort değerlendirmesinde gıda alerjisi veya atopi artışını tanımlamamıştır. Allen ve Koplin duyarlılaşma için bir yol olarak iltihaplı deri, çevresel maruz kalmalar, mikrobiyota ve D vitamini içeren beslenme faktörleri de dahil olmak üzere gıda alerjisi gelişimi için değiştirilebilen risklerle ilgili olarak son teorileri tanımlayan kapsamlı bir inceleme sağlamaktadır. Son zamanlarda en fazla odaklanılan potansiyel bir önleme stratejisi olarak alerjenik gıdaların erken tanıtımından bahsetmektedirler. Örneğin, Onizawa ve çalışma arkadaşları, süt alerjisi sonuçlarındaki süt tanımlama zamanlamasını değerlendirmede kontroller için IgE aracılı inek sütü ile hastaları karşılaştıran bir vaka-kontrol yaklaşımı kullanmıştır. Yumurta alerjisi kontrolleri için inek sütü alerjisi olan kişileri karşılaştıran inek sütünün gecikmeli alımı veya hiç alınmamasının ayarlı OR’si 10.2 idi (%95 CI, 2.5-41.6), başka bir örnek vermek gerekirse, erken tanıtım düşük alerji oranıyla ilişkili olabilir. Buraya kadar, alerjenlerin erken tanıtımının önleyici etkisinin kanıtı en fazla fıstık içindir ancak beslenme düzenine fıstık gibi bir alerjenin eklenmesi karmaşık olabilir. Greenhawt ve çalışma arkadaşları bu müdahaleyi yapmanın karmaşıklığını tanımlayan faydalı bir inceleme sağlamıştır.
İLAÇ ALERJİSİ
İlaç alerjisi yaygın ve önemli bir klinik problemdir. Ayrıca, doğrudan temasta alerji immünoloji klinisyenlerini diğer medikal pratisyenlere koyan bir konudur. Dahası, bilgi ve spesifik test ve tedavi protokolleri arttıkça, ilaç alerjisi alerjistin/immünologun rolünün genişletilmesi için potansiyel bir hedeftir. Gerçekte, 2017 Amerika Astım Akademisi, Alerji ve İmmünoloji (AAAAI) Yıllık Toplantısının konusu “Uygulamayı Genişletme: İlaç Alerjisi Teşhisi ve Tedavisi” dir. 2016 yılında JACI: Pratikte dergisinde yayınlanan makaleler, özellikle duyarsızlaşma ile ilaç alerjisinin epidemiyolojisini, etiyolojisini, teşhisini ve yönetimini araştırmıştır.
Üç makale ilaç alerjisinin epidemiyolojisi ile ilgili yeni bilgiler sağlamıştır. Eğitim hastanesi acil bölümünde tedavi edilen hastalardan rastgele seçilen 1634 grafiğin incelemesinde, Saff ve çalışma arkadaşları çoğu reaksiyonun intravenöz kontrast (%7) ve NSAIDlerle (%6) takip edilen antibiyotiklerde meydana geldiğini (%42) raporlamıştır. Yazarlar ayrıca Hastalıkların Uluslararası Sınıflandırılması, Dokuzuncu Revizyon, Klinik Değiştirmenin (ICD-9-CM) ve E kodlarının alerjik ilaç reaksiyonlarını tanımlamada kullanılabileceği sonucuna varmıştır. İlaç alerjisi teşhisi taşımanın sonuçları, hastanede yatan hastaların prospektif bir Hollanda uyumlu kohort çalışmasında vurgulanmıştır ki bu çalışma penisiline alerjisi olanlar olarak nitelenen hastaların ayrı antibiyotikler alma riskinin ve 12 hafta içinde hastaneye yatma riskinin daha fazla olduğunu göstermiştir. Son olarak, Trubiano ve çalışma arkadaşları, antibiyotikle ilgili ve antibiyotikle ilgili olmayan reaksiyonlar arasında hastaneye yatan hastalarda geciken kütanöz advers ilaç reaksiyonlarının özelliklerindeki farklılıkları incelemiştir. Antibiyotik olmayan reaksiyonlara kıyasla antibiyotikle ilgili reaksiyonların eozinofili ve sistemik semtpomlu ilaç reaksiyonunun (DRESS) yüksek tekrar etme olasılığı, daha uzun kalma süresi, Charlson komorbidite indeksi, maruz kalma ve reaksiyon başlangıcı arasındaki daha kısa latens ve hastanede yatan hastaların artan ölüm oranı ile ilişkili olduğunu gözlemlemişlerdir. Sülfonamid antibiyotikler ve glikopeptitler (vankomisin ve teikoplanin) antibiyotikle ilgili reaksiyonların %20’sini içermekteydi.
2016’da yayınlanan bazı makaleler, advers ilaç reaksiyonları etiyolojilerine yeni kavrayışlar sağlamıştır. İki makale NSAID reaksiyonlarının potansiyel seçici doğasını vurgulamıştır. Bir rapor, aspirin ve ibuprofeni tolare edebilen, naproxene karşı serum hastalık reaksiyonu olan bir hastadan bahsetmiştir. Başka bir makale, aspirini (ve ibuprofeni) tolare edebilen ve ancak parasetamol ve celecoxib’e tepki gösteren ve tipirona karşı intradermal cilt testi pozitif olan bir hastadan bahsetmiştir. Diğer yandan, iki çalışma lokal anestezi reaksiyonları arasındaki çapraz reaksiyonu göstermiştir. Lorenzini ve çalışma arkadaşları, çeşitli lokal anesteziklere karşı (hepsi meta-ksilen entiti içeriyordu) aşırı duyarlılık reaksiyonları gösteren bir hastadan bahsetmiştir. Bununla beraber hasta tiyofen türevi olan artikaini tolare etmiştir. Başka bir vaka raporu lidokain, mepivakain ve bupivakaine karşı gecikmiş kütanöz alerjik reaksiyonları olan bir hastayı sunmuştur. Hasta ek testi reddetmiştir bu nedenle artikain denenmemiştir.
Antibiyotikler advers ilaç reaksiyonlarının yaygın nedenidir ve 2016 yılındaki üç ‘Pratikte’ makalesi bu reaksiyonlara yeni kavrayışlar sağlamıştır. 20 hastada 31 adet advers ilaç reaksiyonlarının (%21) gözlendiği ceftaroline ile tedavi edilen 96 hastanın raporu endişe konusuydu. Yazarlar ve beraberindeki baş yazılar, pazarlama öncesi klinik denemelere kıyasla pazarlama öncesi kullanımda gözlenen advers reaksiyonların sıklığıyla ilgili olarak endişe sergilemiştir ve ceftaroline advers ilaç reaksiyonların sıklığı ve öngörücülerini anlamak için daha fazla veriye ihtiyacı olduğu sonucunu çıkarmaktadır. Uyttebroek ve çalışma arkadaşları, başka bir sefalosporin olan sefazoline karşı aşırı duyarlılığı olan 66 hasta üzerinde çalışmıştır. Klinik olarak önemli olan bir gözlem, sefazolin aşırı hassasiyetinin diğer β-lactam antibiyotiklerine karşı iyi toleranası olan seçici bir alerji olarak göründüğü onaylanan veriydi. Tek dozluk amoksisilin/ klavulanat’tan sonra olağan dışı bir ilaç ateşlenmesi durumu Mori ve çalışma arkadaşları tarafından sunulmuştur. TNF-alfa üretimi patojenez ile haptene özgü T-hücrenin dahil edilmesi in vitro testleri tarafından önerilmektedir.
Birkaç çalışma, perioperatif ilaç reaksiyonlarıyla ilgili olarak faydalı bilgiler sağlamıştır. Kuhlen ve çalışma arkadaşları perioperatif aşırı duyarlılık reaksiyonları olan 25 hastanın değerlendirmesinden bahsetmiştir. Belirtilen en yaygın ajan sefazolindi. Daha sonraki anestezi, bildirilen kapsamlı değerlendirme ve yönetim planından geçen 8 hastanın 7’sinde tolare edilmişti. Lateks, ameliyat sırasındaki reaksiyonların bilinen bir sebebidir ancak latekse karşı ameliyat esnasında meydana gelen anafilaksili 3 hastada, reaksiyonlar oksitosin ve vazopresin uygulamasıyla hafifletilmiştir. Duyarlılaşmanın gentamisin yüklü kemik dolgusu nedeniyle meydana geldiği şüphelenilen ameliyat esnasındaki intravenöz gentamisine karşı anafilaksi durumunda benzersiz bir duyarlılaşma maruziyeti anlatılmıştır. Son olarak, Spoerl ve çalışma arkadaşları, tartışılan cilt testlerinin güvenlik performansı ve klorheksidine karşı spesifik IgE’nin değeri ile beraber klorheksidin alerjisi olan 3 vakayı sunmuştur (bunların 2’si perioperatifti ve 1’i rahim içi aygıt eklentisi sırasındaydı) (aşağı bakınız).
Her biri eşsiz duruma sahip olan şiddetli kütanöz advers ilaç reaksiyonları geçtiğimiz yıl 4 JACI: Pratikte makalelerinin konusuydu. Bir makalede, tipik bir DRESS, besinsel bir takviye ve potansiyel araştırma aşamasındaki ilaç olan diindolylmethane nedeniyle anlatılmıştır. Başka bir makalede, allopurinol ile ilişkili DRESS durumu, akut nekrotizan eozinofilik miyokarditin olağan dışı belirmesi ve papiller kas ruptür nedeniyle ölümle bildirilmiştir. Tremblay ve çalışma arkadaşları, reaksiyondan önceki 4 hafta içinde çoklu antimikrobiyaller alan kistik fibrozisli bir hastada toksik epidermal nekrolizin ilk durumunu raporlamıştır. Toksik epidermal nekrolizin onaylanması için duyarlılık veya tekrarlanabilir cilt ve in vitro testlerinin eksikliği nedeniyle tam etiyoloji onaylanamasa da yazarlar siprofloksazin ve meropenem’in yüksek ihtimalli olduğunu düşünmekteydi. Son olarak, diltiazem nedeniyle akut yaygın egzantemli püstülozu olan bir hastanın ilginç bir durum raporu geçtiğimiz yıl yayınlanmıştır. Hastada test edilmemiş olmasına rağmen, nifedipin’in diğer 2 kalsiyum kanal blokerleri ile çapraz reaksiyona girmediğini ve tolare edilebileceğini belirterek diltiazem ve verapamil için pozitif alerji deneyi ve nifedipine için negatif alerji deneyi gösterilmiştir.
Geçtiğimiz yıldaki JACI: Pratikte dergisi konuları ayrıca daha az yaygın olarak bilinen tetikleyicilere karşı advers ilaç reaksiyonlarının tanımlanmasını içermekteydi ki bunların hepsi cilt testleri ile doğrulanmıştı. Ferruze karşı pozitif cilt testleri (ferrik hazırlamaya karşı değil) ile beraber bir hasta ferruza karşı aşırı duyarlılık ve ferrik demir tuzlarına karşı tolerans göstermiştir. Bir olgu serisi ise proton pompa inhibitörleri ile tetiklenen anafilaksili 5 hastadan bahsetmiştir. Bütün hastalarda sorumlu ilaç için pozitif cilt testleri belgelendirilmişti. Psödoefedrin nedeniyle bülöz pigmentsiz multifokal sabit ilaç erüpsiyonu olan bir hastadan bahsedilmiştir ki bu da önceden etkilenen bölgedeki sorumlu ilaç ile pozitif bir alerji deneyiyle onaylanmıştır. Neoplazi ameliyatından sonra tekrarlanan fibrolaringoskopi gözetimi için sağlanan fibrolaringoskoplarları dezenfekte etmek için kullanılan Cidex OPA’ya karşı ani aşırı duyarlılığı olan dört hastadan bahsedilmiştir. Deri prik testleri bütün hastalarda, in vitro testleri ise 4 hastanın 3’ünde pozitifti. Son olarak, Foer ve çalışma arkadaşları 24 progestojen aşırı duyarlılık durumunu incelemiştir. Bu geniş vaka serilerine dayalı olarak, yeni bir sınıflandırma önerilmiştir (endojen vs. ekzojen). Bu yazarlar ayrıca progestojen testi ve duyarsızlaştırmayla ilgili olarak bilgiler de sağlamıştır (aşağı bakınız).
İlaç alerjisi alanındaki önemli bir amaçta, advers ilaç reaksiyon teşhisini koymak ve sorumlu ilacı belirlemektir. Santurino ve arkadaşları, alerjik bir ilaç reaksiyonu tanısı olasılığını öngörmek için değerlendirdikten sonra ilaç reaksiyonu öyküsünü kullanacak matematiksel bir model geliştirmişlerdir. İlaç alerjisinin son tanısı için prediktörler, yaşlılık, erkek cinsiyeti, beta-laktam ilaç sınıfı, yalnızca bir ilacın dahil edilmesi, 1 saatten az tepki süresi, alerjik hastalık düşündüren klinik sunum ve tepkiden tıbbi konsültasyona kadar geçen sürenin kısa olmasını önermektedir.
Bir advers ilaç reaksiyonu tanısı için altın standart, pozitif bir ilaç testidir. Bununla birlikte, rahatsızlık ve olumlu zorluklarla ilişkili olası ciddi reaksiyonlar nedeniyle, ilaç alerjisinin değerlendirilmesinde cilt testi ve in vitro testler, ilaç testinin ortadan kaldırılması için bir araç olarak incelenmiştir. Anlık ve gecikmeli cilt testinin, geçen yıl JACI: In Practice (Tablo 2)’ de açıklanan çeşitli ilaç reaksiyonlarının değerlendirilmesinde yararlı olduğu bulunmuştur. Penisilin cilt testi en yaygın ve iyi çalışılan ilaç-cilt testi prosedürüdür, ancak geçen yıl 2 uyarı raporu ortaya çıkmıştır. Bunlardan birisi, ampisilin/amoksisilin ile yapılan intradermal testten sonra ciltte oldukça gecikmiş bir reaksiyon (veziküller ve büller) bildirilen bir vaka çalışmasıdır. Diğeri, intradermal test ve oral kontrenden kaynaklanan amoksisiline reensitizasyona ve daha sonraki oral eksposurun anafilaksiye neden olmasına ilişkin bir vaka çalışmasıdır. Bu tür reaksiyon potansiyellerini belirtmek önemli olmasına rağmen, olumsuz bu sonuçlar penisilin alerjisi öyküsü olan hastaların değerlendirilirken cilt testine ve zorlamaya karşı çıkmayı gerektirmeyecek ölçüde, çok nadir olarak kabul edilebilir.
İlaç cilt testinin kullanımındaki en önemli husus, optimal (non-iritone) konsantrasyonun belirlenmesidir. Cavkaytar ve çalışma arkadaşları, klaritromisin ile aşırı duyarlılık şüphesi olan 45 çocuğa klaritromisin cilt testleri uygulamasını incelediler ve daha önceki çalışmalarda kullanılanlardan daha seyreltik solüsyonların kullanılmasında bile önemli miktarda yanlış pozitif sonuçlar elde ettiler. Yazarlar klaritromisine karşı hafif mukokutanöz reaksiyonlar gösteren çocuklarda cilt testi uygulamadan alerjiye meydan okumayı önerdiler. Buna karşılık, yukarıda anlatılan perioparatif anafilaksi ve sefazolin eksposur öyküsü olan 66 hastadan bulunduğu bir çalışmada yazarlar, cilt testinde sefazolin konsantrasyonunun 20 mg/mL'ye kadar artırılmasıyla tanı tekniğinin duyarlılığının etkilendiğini bildirmişlerdir. Ayrıca, bunun, perioperatif anafilaksi için alternatif bir etyolojinin tanımlandığı 30 sefazolin-ekspose bireylerde iritasyona yol açan bir konsantrasyon olmadığını da doğrulamışlardır.
In vitro testlerle ilgili olarak geçen yıl yayınlanan 3 bildiri, pertuzumab (göğüs kanseri için bir monoklonal antikor), etorikoksib (bir COX-2 inhibitörü) ve sefazoline karşı hippersensitivitenin değerlendirilmesinde bazofil aktivasyon testinin değerini desteklemiştir. Ayrıca, lidokain, mepivakain ve bupivakain için alerjik reaksiyon gösteren bir hastanın, şüpheli ilaçlarla birlikte tam kanın inkübasyonundan sonra eozinofil katyonik protein seviyelerinin ölçülmesini içeren bir in vitro pozitif testini anlatan ve yukarıda alıntı yapılan bir rapor da mevcuttur. Buna ek olarak, yukarıda belirtildiği gibi klorheksidin'e karşı pozitif spesifik IgE ile klorheksidin alerjisi olan 3 hasta ve üçünde spesifik IgE gösterilen Cidex'e ani hipersensitivite gösteren 4 hasta tarif edilmiştir.
İspatlanmış veya yüksek oranda şüphelenilen ilaç alerjisi yönetimi, o ilacın ve yapısal olarak benzer olan diğer ilaçların kullanılmamasıdır. Bununla birlikte, böyle bir ilacın gerekli olduğu ve kaçınılmasının önemli bir risk oluşturduğu durumlar da bulunmaktadır. Bu durumda, allerjist-immünolojistin en önemli becerilerinden birinin ilaca karşı duyarlılığı azaltma olduğu düşünülebilir. JACI: In Practice, 2016'da birçok ilaca karşı duyarlılığı azaltma protokolü gösterilmiştir (Tablo III). Sloane ve çalışma arkadaşları, kanser, vaskülit, hematolojik koşullar ve bağ dokusu hastalıkları bulunan 370 hastada kemoterapi ilaçları ve monoklonal antikorlara karşı, 2177 Hızla İlaca karşı Duyarlılığı Azaltma (RDD) prosedürleri dizisi sunmuştur. RDD, tüm hastaların reaktif oldukları ilacın tam dozunu güvenli bir şekilde kullanmalarına olanak sağlamıştır. Buna ek olarak, RDD'nin karboplatin ve taksanlara karşı uygulanabilen daha kısa bir protokolü de yayınlanmıştır. Vaka çalışmaları raporları veya olgu serileri, bir dizi başka ürün için başarılı bir ilaca karşı duyarlılığı azaltma protokolleri tanımlamıştır. Tablo II, Bu raporlarda açıklanan ilaca karşı duyarlılığı azaltma protokollerinin, prosedürlerin, hastaların ve özelliklerin sayılarını özetlemektedir. Ne yazık ki, rifampisine karşı duyarsızlaştırmada başarısız bir girişim bildirilmiştir, hızlı oral prosedür sırasında anafilaksi ile karşılaşılmış ve hasta desensitizasyona yönelik modifiye girişimleri reddetmiştir.
ÜRTİKER VE ANGİOEDEMA
Kolinerjik ürtiker, ürtikerin ısı, egzersiz ve duygu ile tetiklendiği yaygın bir formudur. Vadas ve çalışma arkadaşları bu tür tetikleyicilerden kaynaklanmış kolinerjik ürtiker ile birlikte anafilaksisi olan 19 hastayı tanımlamıştır. Etkilenen hastalar genellikle kadın (% 79) ve başlangıç yaşı 28 yaş olan hastalardı. Hastalar yılda ortalama 9.41 atak geçirmişlerdir ve yaygın anafilaksi tetikleyicileri yüksek sıcaklık (% 100), efor (% 90) ve stres (% 79) olmuştur. Belirtileri, kolinerjik ürtiker (% 95), üst (% 79) ve alt (% 79) solunum yolu semptomları, gastrointestinal tutulum (% 58) ve kardiyovasküler bulgulardır (% 79). Bir hastanın dışında hastaların tümünde başlangıç triptaz düzeyleri normaldi. Yazarlar, anafilaksi araştırmalarında kolinerjik tetikleyicilerin düşünülmesi gerektiğini önermişlerdir.
Ürtiker tedavisi 3 raporun odak noktası olmuştur. Palacios ve çalışma arkadaşları , omalizumab ile tedavi edilen kronik ürtikerli (CU) 41 yetişkin üzerinde yapılan retrospektif bir çalışma gerçekleştirmiş ve bu çalışma % 71 yanıt oranı göstermiştir. Tedavi yanıtının biyolojik belirteci olarak bir bazofil CD203c testini kullanmışlar (CU lu hastaların serumları CD203c nin upregülasyonu ile ölçülen verici bazofillerin aktivasyonunu test etmek için kullanılmıştır) ve yukarı doğru düzenleyici aktivitenin negatif bir cevabı için OR 6.7 (% 95 CI, 1,4 – 31) değerini taşıdığını bulmuşlardır. Onaylandığı takdirde, bu test tepkinin tahmin edilmesi için bir araç olmasına rağmen, yukarı doğru regüle edici aktivitenin otoantikorları IgE'ye veya IgE reseptörüne yansıttığı düşünülürse de yukarı düzenlenme daha az klinik yanıtla ilişkili olduğu için, bu sonuç beklenmedik bir durum oluşturmuştur. Yazarlar alternatif mekanizmaların gözlemden sorumlu olabileceğini önermektedir. Omalizumab ile ilgili bir başka raporda, Rorie ve Gierer, IgE içermesi beklenmeyen nadir bir hastalık olan akuagenik ürtiker durumunda omalizumab' ın tedavi etkinliğini kaydetmişlerdir.
CU bakımının bir diğer zor yönü de NSAIDS kullanımından dolayı alevlenmeler yaşayanlarda görülmektedir. Trautmann ve çalışma arkadaşları, NSAID ile indüklenen veya şiddetlenen ürtikerli 21 hastada NSAID ile mücadeleden 30 dakika önce H1-antihistamin (desloratadin, oral olarak 5 mg) premedikasyonu kullanmışlardır. Retrospektif bir çalışmada, 21 hastanın 17 si, 16 tek doz provokasyona toleranslı oldukları gösterilmiştir, kuvvetli bir siklooksijenaz inhibe eden NSAID ve daha zayıf olan 2 provokasyon ile; daha önceden tedavi edilmişlerin çoğunluğun toleranslı oldukları gösterilmiştir. Çalışma, retrospektif bir tasarım, muhtemel seçme konuları, test edilen çoğunluk için NSAID-kaynaklı ürtiker konusundaki eksik ve tekrarlanan NSAID dozları sonrasında uzun-süreli verilerin olmamasını içeren faktörlerle sınırlıdır. Bununla birlikte, bu gözlemler, potansiyel olarak etkili ve pratik bir yaklaşım da ilave bir çalışmanın değerli olacağını önermektedir.
2016'da Journal' da yayınlanan çeşitli çalışmalar, herediter anjioödemin (HAE) değerlendirilmesi ve yönetimine değinmiştir. HAE, yaşam kalitesi üzerinde güçlü bir etkiye sahiptir ve uzmanlar, yönetimini değerlendirmek için bu önlemiölçümün kullanılmasını önermektedir. Prior ve çalışma arkadaşları, HAE de yaşam kalitesini ölçmek için bir enstrüman kullanarak bir saha çalışması gerçekleştirmişlerdir; 18 ülkeyi kapsayan çalışma, güvenilirlik ve geçerlilik açısından iyi sonuçlar vermiştir. Tedavi ile ilgili olarak Alkylated androjenler (AA) profilaksi için yaygın olarak kullanılmıştır. Zuraw ve çalışma arkadaşları HAE için AA'nın tolere edilebilirliğini ve güvenliğini ön plana çıkarmışlar ve Web tabanlı bir anketle retrospektif kesitsel bir anket çalışması (n = 650) gerçekleştirmişlerdir. Bunlar arasında 344 kişi halen AA kullananlar, 180 kişi geçmişte kullananlar ve 126 kişi hiç AA kullanmayanlar bulunmaktadır. AA nın ve mevcut (P <0.001) ve daha önceki (P <0.001) AA kullanıcılarında atak sıklığını ve şiddetini azalttığını buldular. Bununla birlikte, etkinlikte çeşitlilik bulunduğunu belirttiler. AA kullanımını bırakanların önemli ölçüde daha az faydalandığını bildirdiler. Çoğu kullanıcı, dozla-ilişkili ve genelde ağır olan sıklıkla karşılaşılan yan etkiler bildirmişlerdir. Yeni tedavilerin ortaya çıkmasıyla birlikte yazarlar, bu koşullarda çoğu hastaya, AA kullanmamalarını ve eğer kullanmaları gerekiyorsa, mümkün olan en düşük dozu denemelerini önermişlerdir.
Diğer tedavi yöntemleri ile ilgili olarak, Riedl ve çalışma arkadaşları, ABD ve birçok Avrupa ülkesinde HAE ataklarının ve kısa-süreli profilaksilerin tedavisi için onaylanan, nanofiltre edilmiş C1 inhibitör konsantresi (Berinert, "pnfC1-INH") kullanıcıların çok merkezli büyük bir (343 hasta) kayıttan güvenlik ve kullanım kalıplarını tanımlamak için veriler sunmuşlardır. Çalışma, 30 ABD ve 7 Avrupa ülkesini kapsıyordu. Ataklar için 11,848 infüzyon, ve profilaksi için 3.142 infüzyon bulunmaktaydı. İnfüzyonların yaklaşık % 95 i bir sağlık kuruluşunun dışında uygulanmıştır. Kayıt-öncesinde herhangi bir advers olay bildirilmemiştir. Kayıt- sonrasında (n = 296 denek; 9,148 infüzyon), 85 (% 28,7) denekte 252 advers olay bildirilmiş ve 9 olay pnfC1-INH ile ilişkili olarak düşünülmüştür. Trombotik risk faktörleri olan hastalarda iki tromboembolik olay bildirilmiştir. Yazarlar verilerin, uygulama ayarlarına veya kullanım nedenine bakılmaksızın yüksek düzeyde güvenlik seviyesi gösterdiğine karar vermişlerdir. Bir başka raporda, icatibant' a tepki veren, C1 inhibitör defisansı bulunan iki hasta, altta yatan tetikleyiciler için değerlendirilmiş ve B-hücresi lenfoproliferatif hastalığı teşhis edilmiştir. Hastalar ritux-imab ile iyileşme göstermişler ve yazarlar altta yatan malignite için bu tür hastaların değerlendirilmesinin önemini ve rituximab’ın tedavi için potansiyel etkinliğini vurgulamışlardır.
EOZİNOFİLİK BOZUKLUKLAR
Eozinofilik özofajit (EoE) ve eozinofilik gastroenterit, tanı ve tedavi zorlukları ortaya koymaktadır. Bu bozukluklar gıda allerjenleriyle tetiklenmesine rağmen, IgE' nin rolü tartışılmaktadır. Chen ve çalışma arkadaşları ortak değişkeni immün yetmezliği olan, Ig düzeyleri azalmış, IgE bulunmayan ve spesifik antikor yanıtlarının bozulmuş bir hastasında eozin-ofilik özofajit olgusunu sunmuştur. EoE, diyet-duyarlı değildir ve yazarlar, immünoglobülin ile ilişkili mekanizmalardan bağımsız olarak endo-tür eozinofilik özofajit olabileceğini tartışmışlardır. EoE tedavisi ile ilgili olarak, yutulmuş viskoz budesonid sıklıkla bir araç olarak sukralozu kullanan etkili bir modalite olmuştur; Lee ve çalışma arkadaşlarının yaptığı bir araştırmada viskoz budesonidin elma sosu, bal, armut sosu ve pirinç sereal gibi diğer çeşitli araçlarla etkili bir şekilde kullanılabileceği gösterilmiştir.
Hipereozinofili ve hipereozinofilik sendromlar (HES) çeşitli bulgulara sahiptir. Williams ve çalışma arkadaşları çocuklarda hipereozinofili nedenlerini tanımlamak için çocuklarda bu bozukluklar hakkında veri azlığı olduğunu ve ve pediatrik ve erişkin hastalarda HES ile kontrast oluşturduklarını belirtmişlerdir. Açıklanamayan eozinofili olan 254 erişkin ve 37 çocuğu değerlendirdiler. Çocuklarda ve yetişkinlerde benzer HES varyantlarının frekanslarını bulmuşlardır, ancak primer immün yetmezliklerin çocuklarda HES'in daha yaygın sekonder bir nedeni olduğunu belirtmişlerdir (çocuklarda % 5'e karşı yetişkinlerde % 0.4). Tedavi edilebilir sekonder nedenleri olan olgular hariç tutulduğunda, pediatrik deneklerde medyan pik mutlak eozinofil sayısı artmıştır (9376'ya karşı 5543/mL; P = 0.002). Çocuklarda yetişkinlere nazaran daha fazla gastrointestinal şikayetler (% 62 ye karşı % 34; P = 0.003) ve daha az pulmoner tutulum bulunmaktadır (% 34 e karşı % 59; P = 0.01). Yazarlar, kortikosteroid duyarlılık ve genel prognozun yetişkinler ve çocuklar arasında benzer olduğunu kaydetmişlerdir ve yazarlar, erişkinlerde kullanılan tanı ve tedavi algoritmalarının çocuklara da uygulanabileceğini önermektedirler.
İMMÜN YETMEZLİĞİ
İmmün yetmezliği ile ilgili birçok önemli ve yeni çalışma 2016'da JACI: In Practice’ de yayınlanmıştır. Yukarıda belirtildiği gibi, primer immün yetmezliği (sitokinezis 8 yetmezliği ve X-bağlantılı lenfoproliferatif hastalığı dedikatörü); açıklanamayan eozinofili ile ≥ 1.5 x 109/L , en az 1 ay arayla en az 2 kez olarak 291 denekten oluşan bir kohortta (% 13 çocuk ve % 87 yetişkin) karşılaştırıldığında, çocuklarda (% 5), yetişkinlerle (% 0.4) nazaran belirgin şekilde daha fazla sıklıkta görülmüştür. Exome dizilemesi, ekzon 13 ün bulunduğu bir delesyon ile birlikte iki etkilenmiş kardeşte kombine immün yetmezliği ve megaloblastik aneminin bir nedeni olarak metilenetetrahidrofolat dehidrojenaz yetmezliğinin bir göstergesi olmuştur. Folinik asit tedavisi her iki kardeşte de bağışıklık rekonstrüksiyonuna neden olmuştur ve tüm profilaktik tedavilerin kesilmesini sağlamıştır. Yaşam-boyu folinik asit ile yapılan bu hassas iyileştirici tedavi, spesifik moleküler teşhis ile mümkün hale getirilmiştir.
Sitokinezis 8 (DOCK8) eksikliğinin ve organ işlevinin bozulmasının dedikatörü tarafından kombine immün yetmezliği olan 20 yaşında bir kadının bir vaka çalışması ilgili donör hematopoetik kök hücre transplantasyonunun ve transplant sonrası siklofosfamidin etkili tedavi olduğunu bildirmiştir. Sistemik organlara süzülerek IgG4 plazma hücresine bağlı IgG4 ile ilgili bronşiyal hastalık geleneksel olarak sistemik kortikosteroid lerle tedavi edilmektedir. Sadece pulmoner IgG4 ile ilişkili hastalığı olan 50 yaşındaki bir erkekte, flutikazon propiyonatın, 3 ay süreyle 400 mcg/gün dozunda uygulanması pulmoner IgG4 pozitif plazma hücrelerinin azaltılmasında ve hava yolu duvarlarında kalınlaşmasında başarılı olduğu ve klinik sonuçların iyileştirdiği rapor edilmiştir. Enteral immünoglobülin, nükleer faktör-kappa B gerekli modülatör (NEMO) sendromunda (ektodermal displazi ve immün yetmezlik) kalıcı semptomatik norovirüsün ortadan kaldırılmasında etkili olduğu bildirilmiştir. X-bağımlı agammaglobulinemi deki enteroviral enfeksiyonların epidemiyolojisi ve yeni tedavileri kapsamlı bir inceleme ile güncellenmiştir. 13 aylık bir çocuğun, mikobakteriyel hastalığı bulunmayan çok sistemli hiper-inflamatuvar hastalığına karşılık gelen tam exome dizilişi, homozigot fonksiyon kaybı sinyal transdüktörü ve transkripsiyon 1 aktivatörü (STAT-1) mutasyonunu tanımlanmıştır. Bu çocukta kök hücre nakli başarılı olmuştur. Bildirilen 27 rapor edilmiş STAT-1 mutasyonundan kaynaklanan 4 fenotipinin gözden geçirilmesi de bu raporda yer almıştır.
Sitoplazmik bir molekül olan 2 (NOD2) içeren nükleotid-bağlayıcı oligomerizasyon bölgesi, mikrobiyal duvar bileşenlerine yardımcı olmakta ve inflamasyon ve apoptozu düzenlemektedir. NOD2 deki varyantlar, inflamatuar hastalıklar (NAID) ve Crohn hastalığı ile ilişkili olabilir. NAID li 7 hastada immün yetmezliği kanıtı öne sürülmüştür. CHARGE sendromunun bağışıklık fenotipi (Kolobom, Kalp hastalığı, choanal Atrezi, büyümesi/zekâ kaybı, Genitoüriner malformasyonlar, Kulak anormallikleri) bildirilmiştir. Tekrarlayan kulak ve pulmoner enfeksiyonlara rağmen, CHARGE sendromlu 21 hastadan sadece 2 sinde immün yetmezliği (azalmış serum IgA düzeyi) olduğuna dair kanıtlar ortaya çıkmış ve immün yetmezliğinin lenfopene rağmen bu sendromun bir parçası olmadığını düşündürmüştür.
JACI: In Practice’ de 2016'da yayınlanan üç makale Ortak Değişken İmmün Yetmezliği (CVID) konusunu ele almıştır. T-hücre defekti olan hastaları dışlayacak olan CVID nin önerilen yeni bir tanımının, CVID tanısı doğruluğunu geliştirdiği bildirilmiştir. CVID nin hastalar üzerindeki etkisini değerlendirmeye yardımcı olmak için, CVID-QoL anketi adı verilen bir anket geliştirilmiş ve onaylanmıştır. Anket özelliklerinin güvenilirlik olduğu ve geçerliliğin kanıtlandığı ve CVID li hastaların yaşam kalitesinin izlenmesine yardımcı olması gerektiği belirtilmiştir. Son olarak, Uluslararası Konsensüs Dokümanı (ICON) da: Kritik literatür taramasına dayanarak, Ortak Değişken İmmün Yetmezliği (CVID) bütünüyle öngörülmüştür. Belge; CVID nin konsensüs tanımı, epidemiyolojisi, doğal geçmişi, klinik bulguları, ilişkili komplikasyonlar, genetik, tanı ve yönetimi ile ilgili daha ileri çalışmalar için alanlar sunmuştur. Bu kapsamlı belge CVID tedavisindeki eden tüm allerjistler/immünologlar ve diğer klinisyenler için vazgeçilmez bir kaynak olmalıdır.
Klinik hekim okuyucularımızın bilgilerini yenilemek ve güncellemek için, bağışıklık bozukluklarına ilişkin incelemelerle immün-yetmezliği konusunda bir Tema düzenledik. Hiper-IgM sendromlarının konjenital defekti ile ilişkili klinik fenotip dizisi, klinik belirtiler, ilgili immünolojik testler, kalıtım kalıpları, moleküler tanı, varsayılan patogenezisi ve immünolojik tanı ve yönetimi üzerine vurgu yapılarak açıklanmıştır. Birincil antikor tanımlamalardaki kronik akciğer hastalığına bağlı yüksek frekans ve major morbidite/mortalite göz önüne alındığında, bir gözden geçirme, tanıma, teşhis ve tedavi, özellikle bronşektazi ve interstisyel akciğer hastalığının özelliklerini ayırt etmeye odaklanmıştır. İnceleme, immünoglobülin replasmanı ve profilaktik antibiyotiklerin yanı sıra immün- modülatör yaklaşımları gerektiren interstisyel akciğer hastalığının immün fonksiyon bozukluğunu karakterize ettiğini vurgulamıştır. Bağışıklığı baskılanmış hastalar, aşıyla-önlenebilir enfeksiyonlara duyarlı olduklarını kanıtladığından, bir gözden geçirme bu kritik aşılama sorununu ele almıştır. İncelemede, immün yetmezliği bozukluklarının spesifik immün yetmezliğine dayalı hem rutin hem de spesifik aşıların kullanılmasına dair mevcut kanıtlara dayalı açık öneriler sunulmuştur. Optimal ürün seçimi, uygulama şekli ve bakım yeri seçimi de dahil olmak üzere, antikor aranması için immünoglobülin replasmanının girdisi çıktısı bir başka derlemede sunulmuştur.
Başka bir tema derlemesinde, kronik granülomatoz hastalığı olan çocuk ve erişkinleri başarıyla teşhis etmek ve yönetmek için gerekli olan kapsamlı multidisipliner yaklaşım açıklanmış, antibakteriyel ve antifungal ajanlar ve interferon-gama tedavisi de dahil olmak üzere 3-uçlu profilaktik bir yaklaşım gerektirdiğini bildirilmiştir. Bağlılığı artırmak için yeni bir yaklaşım da öne sürülmüştür. Primer immün yetmezliği hastalığında (PID) görülen otoimmün komorbiditelerin geniş spektrumu göz önüne alındığında, bir tema incelemesi, otoimmün sitopeni, romatolojik bozukluklar ve PID ile birlikte bulunan gastroin-testinal hastalıkların başarılı bir şekilde tedavisi için gerekli stratejilere odaklanmıştır.
PID genellikle çocukluk döneminde ortaya çıkmasına rağmen, son zamanlarda yetişkinlerde de PID bildirilmiştir. Yetişkinlerde PID nin hem fizyolojisi hem de patofizyolojisindeki farklılıklar göz önüne alındığında, yetişkinlerde PID in klinik görünümü belirtileri, tanısı ve yönetimi gözden geçirilmiştir. Son olarak, hemoptizi ve yüksek serum IgE düzeyi olan 22 yaşındaki bir erkek vaka çalışması, hiper-IgE sendromunun ayırıcı tanı ve tedavisi ışığında kritik olarak tartışılmıştır.
SONUÇLAR
JACI: In Practice’ de 2016'da yayınlanan makalelerin genişliği ve derinliği önemliydi. Bu incelemenin okuyucularımızın bu geniş ve pratik bilgileri hastalarının yararına konsolide etmesine ve kullanmasına yardımcı olacağını ümit ediyoruz. JACI: In Practice’ de önümüzdeki yıllarda yayınlanacak klinik açıdan etkili bilgiler ve gelişmeleri sabırsızlıkla bekliyoruz.
TABLO I. 2016 ilerlemelerinin örnekleri ve gözlemleri JACI: In Practice
Klinik Alan İlerlemeler ve Gözlemler
|
Pediatrik astım
|
- NIH klinik araştırma ağlarından elde edilen çalışma bulguları, pediatrik astımın kontrolör tedavisi için yaş spektrumu boyunca kılavuz önerileri için en güçlü kanıtlar sağlamıştır.
|
- Fare sensitizasyonu ergen ve astımlı çocuklarda rinit için bağımsız bir risk faktörüdür.
|
- Okul temelli etkileşimli öğrenme ve gözlemlenen ilaçlar, ergenler arasında aderans ve yönetimi geliştirmiştir.
|
- Kontrolsüz astımlı ergenlerde sağlıkla ilişkili yaşam kalitesi belirgin şekilde bozulmuştur.
|
- Birinci basamak sağlık uygulamaları arasında astım bakım kalitesinde belirgin değişkenlik mevcuttur ve ailede ve doktorlar arasındaki ilaç kullanma talimatlarında çocuklarda astım yükünü etkileyen yanlış anlamalar bulunmaktadır
|
|
• AERD çocuklarda yetişkinlere nazaran daha az görülmesine rağmen dikkate alınmalıdır.
|
- Prenatal (obezite ve kilo artışı), Perinatal (Sezaryen doğumlar) ve Postnatal (şiddetli RSV enfeksiyonu, obezite, indoor mold maruziyeti ve outdoor dış hava kirliliği), astım için modifiye edilebilir risk faktörleri olarak belirlendi.
|
- Çocuklarda obezite, mekanik ventilasyon artışlarına ve astım hastaneye yatışlarına katkıda bulunmuştur
|
|
Yetişkin Astım
|
- Astım kontrolünü izlemek için iki yararlı anket onaylandı: Astım Belirtileri Günlüğü ve Gebelik Astım Kontrol Testi
|
- Akciğer sesi analizi, hava yolu inflamasyonu ve bronşiyal aşırı duyarlılıkla ilgili, kullanışlı, noninvaziv, basit ve tekrarlanabilir bir teknik olarak bildirilmiştir.
|
- Yetişkinlerde astım için daha fazla risk faktörleri bildirilmiştir: kadın cinsiyeti, depresyon, hipertansiyon, Afrika-Amerikalılarda kronik rinosinüzit, Arg/Arg polimorfizmi homozigotluğu ve KOAH (COPD) hastalık kodlaması
|
- Kortikosteroid farmakokinetik anormallikler, obez ve aşırı kilolu kortikosteroid direnci olan astım hastalarında gösterilmiştir.
|
- 24 saatlik LTE4 seviyeleri, denenmiş aspirin duyarlılığı için prediktiftir.
|
- Şiddetli kontrolsüz astım, persistan astımı olan ergenlerin ve erişkinlerin % 2.3 ünde tespit edilmiştir ve daha yüksek sağlık hizmeti kullanımı ve maliyeti ile ilişkilidir.
|
- Yetişkinlerde aktif astım, miyokard infarktüsü ile ilişkilidir.
|
- Bir yıllık gözlem sırasında total serum IgE seviyelerinde klinik olarak anlamlı değişiklikler görülmüştür ve bu durum, bir anti-IgE biyolojik olan omalizumab uygunluğunu ve dozunu etkileyebilir.
|
- Omalizumab alan ABPA' lı hastalarda total serum IgE düzeylerinin izlenmesinde, alevlenmelerin ve tedaviye yanıtın belirlenmesinde yardımcı olabilir.
|
- Kapsamlı hane halkı alerjen önleme programı, kontrol ilaçlarının basamak koruma seviyesini değil, alerjen düzeylerini azaltmada başarılı olmuştur.
|
- Uzun etkili bir antikolinerjik olan Tiotropium, yetişkinlerde düşük ila orta doz ICS de bronkodilatör etkinliği ve güvenliği göstermiştir.
|
- Astım nedenselliğinde ve ilerlemesinde maya/mantar maruziyetinin önemi göz önüne alındığında, mold alerjisi bilgisini artırmak için çeşitli incelemeler ve klinik beceriler yayınlanmıştır.
|
|
Bağlılık ve kendi-kendine yönetimi
|
- Astım kontrolörlerine bağlılık en düşük seviyededir: 10 pediatrik adherans çalışmasında uzun süreli kontrol ilaçları kullanımı, % 19 düşük % 64 yüksek aralığındadır, inhale edilen ilaç dozlarının sadece % 57 si doğru kullanılmış ve sadece % 25 inde inhale ICS bir yıldan uzun süre kullanılmıştır.
|
- Eğitim programlarının ve tele- sağlık stratejilerinin kendi-kendine yönetimi optimize ettiği ve astım sonuçlarını iyileştirdiği rapor edilmiştir.
|
- Zayıf bağlılığı tanımak ve geliştirmek için stratejiler, klinik açıdan yararlıdır ve çeşitli yayınlarda gözden geçirilmiştir.
|
|
Rinit
|
- Yeni bir burun filtresi kullanımı kolay ve kullanışlı bulunmuştur ve alerjik rinitli birçok hastada semptom yönetimi için klinik açıdan önemli olabilir.
|
- Minimal klinik olarak önemli fark eşikleri, TNSS için doğrulanmıştır.
|
- Çimen ve ragweed SLIT ile çift tedavinin başlatılması için bir protokol iyi tolere edilmiştir.
|
- Sistematik bir inceleme, SCIT veya SLIT in sezona-paralel olarak başlatılmasının, sezon dışı başlatma veya Plaseboya kıyasla advers olay riskini arttırmadığı sonucuna varmıştır
|
- Bakım poleni SCIT alan bir hastada Nicolau sendromunun (doku hasarı ve ilaç enjeksiyonuyla ilişkili nekroz) bir olgu bildirilmiştir.
|
- Prolifin gibi pan-alerjenlere duyarlılık için bir markör olarak yerel olmayan bir ağaca duyarlılaşma artan sayıda diğer aero-alerjenlere duyarlılıkla anlamlı şekilde ilişkili bulunmuştur.
|
|
Kronik rinosinüzit (CRS)
|
- Burun polipleri bulunan CRS, burun polipleri olmaksızın NSAID ile şiddetlenen CRS, enfeksiyöz CRS, alerjik mantar rinosinüzit i, kistik fibrozis li hastalarda CRS ve diğer fenotipleri içeren sinüzit fenotipleri incelenmiştir.
|
- T yardımcı hücreleri etrafında yapılandırılmış pat mekanizmalara dayalı CRS endotipleri ve bunlardan kaynaklanan olaylar tartışılmıştır.
|
- CRS de antibiyotikler anti-inflamatuvar rollere sahip olabilirler.
|
- Fenotiplere dayalı yönetim algoritmaları sunulmuştur.
|
- CRS li Afrika-Amerikalılar daha ağır hastalığa, daha sık görülen burun polipozisine, daha sık AERD ye ve artan astım nedeniyle hastaneye yatış oranlarına sahiptirler.
|
- Aspirin duyarlılığına göre ayarlandıktan sonra bile, nazal polipli CRS li hastalarda, 24 saatlik üriner LTE4 düzeyleri yükselmiştir.
|
- Astım için kullanılan bir ICS burun ekshalasyonunu, eşlik eden CRS semptomlarını ve radyolojik bulgularını düzeltir
|
- Gebelik sırasında sinüzit için antibiyotik alma ihtimali Gebelik öncesine veya sonrasına göre daha düşüktür.
|
- Pediatrik uyku apnesi sendromu üzerine yapılan bir gözden geçirme, alerjik rinit, alerjik olmayan rinit ve bulaşıcı rinosinüzit in, hastalık için risk faktörleri olduğuna dikkat çekmiştir.
|
|
Gıda alerjisi ve anafilaksi
|
- Gıda alerjisi duyarlılığında artış olmadan gıda alerjisi prevalansında artış, hastalığın ortaya çıkmasında alternatif açıklamalara ihtiyaç göstermektedir.
|
- Atopik dermatiti tedavi etmek için tolere edilmiş bir gıdayı çıkarmak, o yiyecek için yeni bir anafilaktik alerjinin ortaya çıkmasına neden olabilir.
|
- Gıda alerjisi olan bir çocuğun kardeşleri, gıda alerjisi riskinde az da olsa artan bir riske sahiptir. Buna karşılık tarama testleri konusunda dikkatli olunması gereken yüksek bir masum sensitizasyon riskine sahiptir.
|
- Yetişkinler, kabuklu deniz ürünlerine karşı FPYE içerebilirler.
|
- Çoklu gıda alerjisi/intoleransı sendromunun tanımı
|
- Gıda alerjisi teşhisi için bileşen-testi çalışmaları
|
- OFC sırasında ya da yanlışlıkla alınması yumurta, süt ya da yer fıstığıyla ilgili alerjik reaksiyonlar, sensitizasyonu arttırmazlar.
|
- Yaygın olarak doğrulanmış alerjiler oldukları için büyük-olmayan besin alerjenleri için OFC ler teşvik edilmelidir.
|
- Besin alerjisi ve egzama olan çocukların, beslenme/büyümeleri yakından izlenmelidir.
|
- İnek sütü alerjisi ile ilgili bir vaka kontrol çalışması, gecikmiş allerjen karşılaşmasının alerji gelişimiyle ilişkili olduğuna dair yeni kanıtlar eklemiştir.
|
- Bir kohort araştırması, aşılardaki bütünüyle asellüler pertusis geçişinin daha fazla gıda alerjisi/atopi ile sonuçlanmadığını ileri sürmüştür.
|
|
İlaç Alerjisi
|
- ED ye sunulan birçok ilaç reaksiyonu antibiyotiklerde (% 42), bunu takiben intravenöz kontrasta (% 7) ve NSAID da (% 6) olmuştur.
|
- Penisilin alerjisi olan hastaların, rezerv antibiyotik alma ve 12 hafta içinde yeniden hastaneye yatma riski daha yüksektir.
|
- Hastanede yatan hastalarda gecikmiş kutanöz non-antibiyotik reaksiyonlarla karşılaştırıldığında, antibiyotik ile ilişkili reaksiyonlar, DRESS prevalansının artması, daha uzun süreli kalış süresi ve hastanede yatanlarda mortalitenin artması ile ilişkilidir.
|
- NSAID reaksiyonları seçici olabilmektedir: naproksen ile serum hastalığı reaksiyonu olan bir hasta, aspirine ve ibuprofen e tolere edebiliri ve aspirine (ve ibuprofen) tolere eden bir hasta, parasetamol ve selekoksibe tepki verebilir.
|
- İki hasta çeşitli amid lokal anestezilerine tepki vermiştir, bu durum artikain de bulunmayan meta-ksilen varlıklarına bağlı olabilir
|
- Ceftaroline advers ilaç reaksiyonlarının yüksek sıklığı bildirilmiştir.
|
- Perioperatif ilaç reaksiyonları ile ilgili olarak, saptanan en yaygın etiyolojik madde sefazolin dir; lateks e reaksiyonlar, oksitosin ve vazopress uygulanmasıyla azaltılabilir; ve intravenöz gentamisin ve klorheksidin reaksiyonları bildirilmiştir.
|
- Ciddi kutanöz advers ilaç reaksiyonlarının kendine özgü vakaları bildirilmiştir: diindolilmetan nedeniyle DRESS; Akut nekrotizan eozinofilik miyokardit ile allopurinol ile ilişkili DRESS ve papiller kas rüptürüne bağlı ölüm; CF' li bir hastada TEN; ve diltiazem nedeniyle akut jeneralize ekzantematöz püstüloz.
|
|
İlaç Alerjisi (devam)
|
- Geçmişe dayanarak, ilaç alerjisinin nihai teşhisinin prediktörleri, beta-laktam ilaç sınıfı dahil, 1 saatten daha az bir reaksiyon süresi, alerjik hastalığı düşündüren klinik sunum ve tepkiden tıbbi konsültasyona kadar geçen daha kısa bir süreyi içermektedir.
|
- Pozitif cilt testleri belgelenmiş ve hipersensitivite ile ilişkili birçok ilaç için anlamlı olduğu düşünülmüştür (Tablo II). Buna karşılık, klaritromisin için önemli miktarda yanlış pozitif cilt testi sonucu bulunmuştur.
|
- In vitro testlerle ilgili olarak, BAT ın; pertuzamab, etorikoksib ve sefazoline karşı aşırı duyarlılığın değerlendirilmesi için yararlı olduğu ve klorheksidin alerjisi olan ve Cidex e anında acil duyarlılığı olan hastalarda spesifik IgE nin gözlemlendiği bildirilmiştir.
|
- Bir dizi başarılı ilaca karşı duyarsızlaştırma protokolü açıklanmıştır (Tablo III). Rifampisine karşı başarısız bir duyarsızlaşma da rapor edilmiştir.
|
|
Ürtiker ve anjioödem
|
- Anafilaksi ile kolinerjik ürtiker hastalarının özelliklerinin tanımı, anafilaksi araştırmasında kolinerjik tetikleyicilerin düşünülmesi gerektiğini ortaya koymaktadır.
|
- Omalizumab, akuajenik ürtiker için etkilidir.
|
- Basophil aktivasyonu CU da omalizumab cevabı için bir belirteç olabilir.
|
- HAE için bir yaşam kalitesi enstrümanın onaylanması
|
- HAE için alkillenmiş androjenlerin etkinliği, tolere edilebilirliği ve güvenilirliğinin karakterizasyonu
|
- HAE için C1 inhibitör konsantresi ile ev tedavisinin güvenilirliğini düşündüren veriler
|
|
Eozinofilik bozukluklar
|
- EoE için topikal steroid (etiket dışı kullanım) uygulamasında çeşitli taşıyıcı araçlar kullanılabilir.
|
- HES li çocuklarda erişkinlere benzer tedavi yanıtı ve prognozu bulunmaktadır ve yetişkin algoritmaları uygulanabilir.
|
|
İmmün Yetmezliği
|
- Açıklanamayan hipereozinofili devam eden hastalarda primer immün yetmezliği çocuklarda yetişkinlerden daha belirgin olarak görülmektedir.
|
|
|
- Hassas tıp kombine immün yetmezliği hastalığının ve diğer bağışıklık yetersizliği bozukluklarının genetik varyantlarının belirlenmesine yardımcı olmuştur.
|
|
|
- İnhale flutikazon propionat, IgG4 ile ilişkili pulmoner hastalığın tedavisinde başarılı olmuştur.
|
|
|
- NEMO sendromunda enteral immünoglobülin kullanımı kalıcı norovirüsü ortadan kaldırdı
|
|
|
- CHARGE sendromu olan hastalarda immün yetmezliği görülmemiştir.
|
|
|
- T-cell kusurlu hastaları dışlayan CVID nin önerilen yeni bir tanımı, CVID tanısının doğruluğunu geliştirmiştir.
|
|
|
- CVID nin hastalar üzerindeki etkisini değerlendirmek için yeni bir anket geliştirilmiş ve onaylanmıştır.
|
|
|
- Kritik literatür taramasına dayanan Uluslararası Konsensüs Dokümanında (ICON): ortak değişken immün yetmezliği bozukluklarını rapor edilmiştir.
|
|
|
- İmmün yetmezliği bozuklukları dizisi tanıma, tanı ve yönetim üzerine odaklanarak gözden geçirilmiştir.
|
Nomenclature
ABPA, Allergic bronchopulmonary aspergillosis; AERD, aspirin-exacerbated respiratory disease; BAT, basophil activation test; CF, cystic fibrosis; CHARGE, coloboma, heart disease, choanal atresia, growth/mental retardation, genitourinary malformations, ear abnormalities; COPD, chronic obstructive pulmonary disease; CU, chronic urticaria; CVID, common variable immune deficiency; DRESS, drug reaction with eosinophilia and systemic symptoms; ED, emergency department; EoE, eosinophilic esophagitis; FPIES, food protein-induced enterocolitis syndrome; HAE, hereditary angioedema; HES, hypereosinophilic syndromes; ICS, inhaled corticosteroids; LTE4, leukotriene E4; NIH, National Institutes of Health; NSAID, nonsteroidal anti-inflammatory drug; OFC, oral food challenge; RSV, respiratory syncytial virus; SCIT, subcutaneous immunotherapy; SLIT, sublingual immunotherapy; TEN, toxic epidermal necrolysis; TNSS, total nasal symptom score.
Kısaltmalar
ABPA, Alerjik bronkopulmoner aspergilloz; AERD, aspirinle şiddetlenen solunum hastalığı; BAT, bazofil aktivasyon testi; CF, kistik fibröz; CHARGE, coloboma, kalp hastalığı, choanal atrezi, büyüme/zihinsel gerilime, genitoüriner malformasyonlar, kulak anormallikleri; COPD (KOAH), kronik obstrüktif akciğer hastalığı; CU, kronik ürtiker; CVID, ortak değişken immün yetersizliği; DRESS, eozinofili ve sistemik semptomlar ile ilaç reaksiyonu; ED, acil servis; EoE, eozinofilik otofaji; FPIES, gıda proteinin indüklediği enterokolit sendromu; HAE, kalıtsal anjioödem; HES, hipereozinofilik sendromlar; ICS, inhale kortikosteroidler; LTE4, lökotrien E4; NIH, Ulusal Sağlık Enstitüleri; NSAID, steroidal olmayan anti-inflamatuar ilaç; OFC, oral gıda çabası; RSV, solunum sinsityal virüsü; SCIT, subkütan immünoterapi; SLIT, dilaltı immünoterapi; TEN, toksik epidermal nekroliz; TNSS, toplam nazal semptom skoru.
TABLO II. JACI : In Practice 2016 Özellikleri: İlaç alerjisi tanısında cilt testleri kullanımı pratik raporları
|
Referans
|
İlaç
|
Çalışılan Hasta Sayısı
|
Reaksiyonların klinik bulguları
(Hasta sayısı)
|
Test tipi; konsantrasyonlar pozitif
(Hasta sayısı)
|
Yorumlar
|
|
124
|
Cefazolin
|
66
|
Perioperatif
anafilaksi
|
ID; 2 mg/mL (12)
|
30 kontrolde
20 mg / mL iritasyon yok
|
|
129
|
Chlorhexidine 0.5%
|
3
|
Anafilaksi
|
ID; 20 mg/mL (7)
|
|
|
ID; 1:10,000 (1)
|
|
Pr; 1:1 ve
|
|
ID; 1:100,000 (1)
|
|
137
|
Cidex 0.55 %
|
4
|
Anaphylaxis (1), U/A
(3)
|
Pr; 1:1 (4)
|
5 nonatopik kontrolde
1:1 iritasyon yok
|
|
188
|
Docetaxel
|
1
|
Eritrositestezi benzeri cilt döküntüleri
|
ID; 0.1 and 1 mg/mL
|
Test 6 ncı günde pozitif oldu
|
|
134
|
Ferrous (II) glycine
Sulfate
|
1
|
U
|
ID; 1:10
|
|
|
135
|
Protein pompası inhibitörleri
(40 mg/mL)
|
5
|
Anafilaksi
|
Sorumlu İlaçlar
|
|
|
Pr; seyreltilmemiş (2)
|
|
ID; 1:100 (1)
|
|
ID; 1:10 (2)
|
|
189
|
Pristinamycin 50 mg/mL
|
64
|
Anafilaksi (10), U/A
|
Pr; seyreltilmemiş (4/10)
|
41 hastada cilt testi yapılmamıştır
|
|
(28), MPE (14),
|
|
AGEP (3), Diğer (9)
|
|
138
|
Progesterone 50 mg/mL
|
24
|
Anafilaksi (2).
|
Pr; seyreltilmemiş
ID; 1:10,000, 1:1000,
1:100
|
Hastalar birden fazla klinik belirtiye sahip olabilirler;
Cilt testi seyrelticisi olarak kullanılan ya benzil alkol yada zeytinyağıdır.
|
|
Astım (3), U/A (13),
|
|
Dermatitis (13)
|
|
136
|
Pseudoephedrine
|
1
|
Bullous nonpigmenting
multifocal FDE
|
PT; 10% in DMSO
|
Lezyonlu deride pozitif
fakat nonlesional deride pozitif değil
|
AGEP, Akut yaygın ekzantematöz püstüloz; A, anjioödem; DMSO, dimetil sülfoksit; FDE, sabit ilaç erüpsiyonu; ID, intradermal; MPE, maculopapüler ekzantem; Pr, prick testi; PT, yama testi; U, ürtiker.
TABLO III. JACI : In Practice 2016 yayınlanan desensitizasyon protokolleri
| Referans |
İlaç
|
İşlem / hasta sayısı
|
Rota / türü
|
Çözüm / adım sayısı
|
Premedikasyon
|
|
146
|
Kemoterapi ve monoklonal
antikorlar
|
2177/370
|
IV/hızlı
|
1-4/12-16
|
Değişken, ilk reaksiyon sırasında hastanın belirtileri temel alınarak
|
|
147
|
Karboplatin ve taksanlar
|
58/12
|
IV/hızlı
|
1/16
|
Aspirin, montelukast, deksametazon, dexchlor-fendiramin, ranitidine
|
|
148
|
Deferasiroks
|
1/1
|
Oral/yavaş
|
--
|
Setirizin
|
|
149
|
Lizozomal hastalık enzim replasmanı
|
4/4
|
IV/hızlı
|
3/12
|
Tanımlanmamış
|
|
150
|
Melphalan
|
1/1
|
IV/hızlı
|
5/17
|
Setirizin, montelukast, aspirin,
difenhidramin, famotidin,
deksametazon, ondansetron
|
|
143
|
Pertuzumab
|
1/1
|
IV/hızlı
|
4/16
|
Montelukast, aspirin, deksametazon,
setirizin
|
|
138
|
Progestogen
|
3/3
8/8
|
IM/hızlı
Oral/yavaş
|
1/6
--
|
H1 ve H2 bloklayıcıları
Yok
|
|
151
|
Rituximab
|
53/7
|
IV/hızlı
|
3/12
|
Prednisone, montelukast, prometazin,
desloratadin, ranitidin ve
asetaminofen
|
|
152
|
Sirolimus
|
1/1
|
Oral/hızlı
|
3/7
|
Yok
|
|
153
|
Temozolomide
|
16/14
|
Oral/hızlı
|
3/14
|
Yok
|
|
154
|
Von Willebrand faktör ürünleri
|
2/2
|
IV/hızlı
|
3/12
|
Difenhidramin
|
IV, İntravenöz.
Hava yolu Faktörü XIII astımda tip-2 inflamasyon ve hava yolu tıkanması ile ilişkilendirilmektedir.
Özet
Genel bilgi - Koagülasyon faktörü XIII (FXIII) fibrin pıhtılarını stabilize ederek ve ekstraselüler matriks proteinlerini çapraz bağlayarak yara iyileşmesinde önemli bir rol oynar. FXIII monosit/makrofaj hücrelerinde ve dendritik hücre soylarında, tip 2 sitokine tepki olarak eksprese edilir.
Amaç - FXIII ile astım patobiyolojisi arasındaki ilişkiyi belirlemeye çalıştık.
Yöntemler - Hafif astımlı gönüllülerde segmental alerjen zorlamasından önce ve sonra elde edilen bronkoalveolar lavajlarda ve hafif-orta şiddetli ve şiddetli astımlı hastalardan toplanan indüklenmiş balgam numunelerinde FXIII mRNA ve protein ekspresyonu seviyesini analiz ettik.
Bulgular - Alerjen ile zorlama ve protein miktarı ile korelasyonu olan mRNA sonrasında FXII mRNA ve protein bronkoalveolar hücrelerde ve sıvıda yukarı yönde düzenlendi. Astımlı gönüllülerin balgamında, FXIII'in, tip 2 immün tepkisi ve dendritik hücrelerin (CD209 ve CD207) markörleri ile pozitif korelasyonu vardı FXIII ekspresyonu ayrıca artmış hava yolu kısıtlaması (FEVi/FVC ve RV/TLC) ve ß-agoniste daha fazla reversibilite ile ilişkilendirildi.
Sonuçlar - FXIII, alerjene maruz kalma sonrasında astımlı deneklerin hava yolunda yukarı doğru düzenlendi. Astımlı hastaların balgamlarındaki ekspresyonunun, tip 2 immün tepkisi ve hava yolu kısıtlaması ile korelasyonu vardır. FXIII'in aşırı aktivitesi astımda hava yolu tıkanmasının patofizyolojisine katkıda bulunabilir.
Anahtar kelimeler
Faktör XIII; astım; şiddetli astım; alerji; pulmoner fonksiyon; hava yolu tıkanıklığı (obstrüksiyonu); hava hapsi; inflamasyon, eozinofiller; IL-13
Kilit mesajlar
•Hava yolu FXIII astımda alerjen ile indüklenir
•Hava yolu FXIII hava yolu kısıtlaması ve şiddetli astımın özellikleri ile ilişkilidir
•Fibrin ve fibronektinin çapraz bağlayıcısı olan FXIII astımın patofizyolojisine katkıda bulunuyor olabilir
Giriş
Astım hem hava yolu inflamasyonu hem de yeniden modellemesi ile karakterizedir. Hava yolu yeniden modellemesi retiküler bazal membranın kalınlaşması, mukus bezi hipertrofisi, ekstraselüler matriksin birikmesi, artan düz kas kütlesi ve anjiyogenez ile yansıtılır 1-4. Birlikte, bu değişiklikler kalıcı hava yolu kısıtlaması ve astım şiddetine katkıda bulunur.
Hava yolu inflamasyonu plazma ekstravazasyonu ile ilişkilendirilir ve plazmanın doku faktörüne maruz kalması trombin aktivasyonu ve fibrin pıhtılaşmasına yol açan koagülasyon faktörlerini tetikler (5 'de incelenmiştir) Biz ve diğerleri astımlı hastaların hava yollarında artmış trombin aktivitesi rapor ettik 6,7. Wagers ve ark. status astmatikustan ölen bir hastanın hava yolunda fibrin birikmesi gözlemlemiştir 8. Wagers ve ark.'larının çalışması fibrinin sürfaktan fonksiyonunu azalttığını ve nihayetinde hava yolunun kapanmasına ve aşırı tepki verme durumuna yol açtığını önermiştir. Şiddetli astımda, daha az şiddetli hastalığa kıyasla pro-fibrinojenik yolu yolu artar 9>10.
Faktör XIII (FXIII) koagülasyon serisinin sonunda fibrini kovalan olarak çapraz bağlar. FXIII ekstraselüler şekilde plazma FXIII olarak (pFXIII) ve intraselüler şekilde selüler FXIII (cFXIII) olarak bulunan bir transglutaminazdır. pFXIII trombin ile aktive edilir ve yara iyileşme sürecinde fibrin pıhtılaşmasının stabilitesine katılan çok sayıda substrata sahiptir 11; u. Bu substratlar arasında fibronektin, trombospondin-1, a2-antiplasmin, trombin ile aktive edilebilir fibrinoliz inhibitörü, aktin, von Willebrand faktörü, ve plazminojen aktivatör inhibitörü-2 bulunur. Fibrin pıhtılarını stabilize etme fonksiyonu nedeniyle FXIII miyokart enfarktüs, iskemik inme, derin ven trombozu, ve pulmoner embolizm gibi akut trombotik olaylarda önemli bir rol oynar 13. Ayrıca yaşamı tehdit edici plastik bronşitlerde astım dahil çeşitli pulmoner hastalıklara neden olan eozinofilik inflamasyon ile veya olmaksızın fibrin tıkaçları bulunur14,15. Ancak, astımlı gönüllülerde havayolunda FXIII varlığı ve rolü henüz analiz edilmemiştir. In vitro olarak, astımlı hastalarda alerjen ile aktive edilmiş periferal kan mononükleer hücreleri (PMBC) , tedavi görmemiş hücrelere göre daha fazla FXIII mRNA eksprese eder 16. Ayrıca FXIII protein seviyesi, normal çocuklardan gelen lavaj sıvısına kıyasla bronkoalveolar inflamasyonlu çocuklardan alınan bronkoalveolar lavaj sıvısında güçlendi17.. Yakın tarihte, ekspresyon niceliksel karakter yer eşleştirmeleri çocuklarda astım patojenezi ile ilişkilide FXIII'de cis-etken ekspresyon ile ilişkili varyantlar tanımladı 18. Ayrıca yakın tarihte astımdan ölen kişilerin akciğer dokusunda FXIII+ dendritik hücrelerin birikmesi rapor edilmiştir19.
FXIII ekspresyonunun IL-4 ve IL-13 ile aktive edilen makrofajlarda yukarı doğru düzenlenmesi 20,21 FXIII'in alternatif olarak aktive edilen makrofajların bir markörü olduğunu önermektedir. Alternatif olarak aktive edilen makrofajlarda FXIII'ın üretimi, FXIII'ın fibrin birikmesine katkıda bulunduğu kronik sinüziti olan hastalardan alınan nazal poliplerde daha fazla teyit edildi. Tam insan genomu ekspresyon mikro-dizileri kullanarak FXIII'ın astımda in vivo segmental alerjen zorlaması (SBP-Ag) sonrasında BAL hücrelerinde yukarı yönde düzenlenen transkriptlerindne biri olduğunu önceden göstermiştik.
Bu gözlemlere dayanarak hava yolu hücreleri tarafından FXIII üretiminin astımda tip 2-immün özellikleri ve pulmoner fonksiyonun kaybı ile ilişkilendirilebileceğini hipotezini ileri sürdük. Bu hipotezi test etmek üzere Wisconsin Üniversitesinde Şiddetli Astım Araştırma Programına (SARP) katılan bir grup astılmı gönüllüden alınan indüklenmiş balgam numunelerini ve bir SBP-AG sonrasında her iki BAL sıvısında FXIII'ı analiz ettik.
Yöntemler
Gönüllüler, BAL hücre hazırlıkları ve çalışma tasarımı
Çalışma protokolü Wisconsin-Madison Üniversitesi Sağlık Bilimleri İnceleme Kurulu tarafından onaylanmıştır. Bilgilendirilmiş yazılı onam katılım öncesi gönüllülerden alınmıştır.
SBP-Ag ve BAL geçiren 7 gönüllüden hepsi atoptik, ve hepsinin en az bir pozitif deri prick testi vardı. Bu gönüllülerin albüterol ile hava yolunun reversibilitesi ile hafif bir astım geçmişi vardı. Gönüllülerden hiçbiri soluma yoluyla veya oral kortikosteroidler kullanmıyordu. Bronkoskopi, SBP-Ag ve BAL hücre preparatına yönelik detaylı yöntemler daha önce anlatılmıştır 24. Kan eozinofilleri (EOS) önceden anlatıldığı üzere negatif seçim ile saflaştırıldı 25. Daha fazla detay çevrimiçi ekte verilmektedir.
Wisconsin Üniversitesinde Şiddetli Astım Araştırma Programına (SARP) katılan bir 56 gönüllüden standart yöntemler 26,27 ile indüklenmiş balgam elde edildi. Daha fazla detay çevrimiçi ekte verilmektedir. Gönüllülerin Amerika Torasik Cemiyeti kriterlerinin tanımladığı üzere şiddetli (n=22) ve şiddetli olmayan astımı (n=34) vardı. Sputum numuneleri 2 set halinde işlendi. Set 1 (n=23) 12 aylık bir dönemde elde edilen balgam numunelerini içermektedir (2010 ile 2011). Transkriptler arası ilişki analizleri için set 1 kullanıldı. 2007 ile 2010 yılları arasında elde edilen 33 balgam numunesi (set 2) FXIII ile astım özellikleri arasında ilişki analizleri için set 1'deki numunelere eklendi. Gönüllülerin özellikleri çevrimiçi ekte belirtildiği üzere elde edildi.
RNA, gerçek zamanlı qPCR ve ELISA
Toplam RNA parçalanmamış BAL Hücrelerinden veya saflaştırılmış BAL EOS'dan, Rneasy Mini Kiti (Qiagen, Valencia, CA, ABD) kullanılarak ekstrakt edildi. Sputum numunelerinden toplam RNA, Trizol Reaktif üreticisinin tavsiyelerine uygun şekilde ekstrakt edildi. Tipik olarak, balgam numunelerinden 400-800 ng toplam RNA toplandı. Ters transkripsiyon reaksiyonu Superscript III sistemi (Invitrogen/Life Technologies, Grand Island, NY, ABD) kullanılarak gerçekleştirildi. MRNA'nın ekspresyonu SYBR Green Master Mix (SABiosciences, Frederick, MD, ABD) ile qPCR yoluyla belirlendi. Veriler, önceden tarif edilen karşılaştırmalı döngü eşiği (AACt) kullanılarak kat değişikliği olarak ifade edildi 28. Korrelasyonlar için sunulan ve kullanılan değerler, 1'e sabitlenen astımlı gönüllüler arasındaki en düşük ekspresyonla karşılaştırmalı olarak kat değişikliğidir = (2 ). Referans gen (GUSB) Ct değerleri >25 olan balgam numuneleri çalışmaya dahil edilmedi. Daha fazla detay çevrimiçi ekte verilmektedir.
FXIII proteini Hyphen Biomed Fransa'dan Zymutest Factor XIII-A kiti kullanılarak BAL sıvısında ölçüldü. Serbest FXIII veya FXIIIB ile karışmış FXIII ELISA kiti ile ölçülebilirdi. Numuneler üreticinin tavsiye ettiği şekilde işlendi. Analiz Duyarlılığı ~lng/ml idi.
J Allergy Clin Immunol Yazar Taslağı; PMC de 1 Mart 2017 tarihinden itibaren mevcuttur.
İstatistiksel analiz
Toplam BAL hücrelerinde ve saflaştırılmış BAL EOS'da genlerin ekspresyonunu RT-qPCR veya ELISA ile karşılaştırmak için, veriler Wilcoxon işaretli sıra testi kullanılarak analiz edildi. Demografik faktörler ilişki için ki kare testi ve Wilcoxon İşaretli Sıra Testi kullanılarak şiddetli olmayan ve şiddetli astım arasında karşılaştırıldı. Sputumda FXIII ekspresyon seviyeleri gruplar arasında Wilcoxon İşaretli sıra testi kullanılarak karşılaştırıldı ve sürekli ölçümler için Spearman sıralı korelasyon katsayısı kullanıldı. Artan ICS doz ile FXIII ekspresyonu arasındaki ilişki için bir eğilim testi, yok ile yüksek arası doz seviyelerinin 0 ile 3 arasında yeniden kodlandığı ICS dozunda log FXIII gerileterek elde edildi. FXII ekspresyonu yaşla birlikte artma eğilimi gösterdiği için tüm analizler, yaşta log FXIII gerileterek ve standartlaştırılmış kalıntılar elde ederek hesaplanan yaşa göre düzeltilmiş FXIII ekspresyon seviyeleri kullanılarak gerçekleştirildi 0,05'den az iki taraflı p-değeri istatistiksel olarak anlamlı olarak kabul edildi.
Sonuçlar
SBP-AG sonrası BAL'da FXIII artar
FXIII mRNA seviyesi, SBP Ag'den 48 saat önce ve sonra parçalanmamış BAL hücrelerinin ve SBP-Ag'den 48 saat sonra saflaştırılmış BAL EOS'un RT-qPCR'si ile değerlendirildi. FXIII mRNA seviyesi, SBP-Ag sonrasında BAL hücrelerinde, başlangıçta (alerjen zorlamasından önce) aynı gönüllülerden alınan BAL Hücrelerine kıyasla 300 kat arttı. SBP-AG'den 48 s sonra hava yoluna alınan ana hücre popülasyonu (toplamın %74'ü) EOS'tu (Ek Tablo 2). FXIII mRNA'nın, parçalanmamış BAL Hücrelerine kıyasla saflaştırılmış BAL EOS'da düşük olması (Şekil 1) EOS'un ana FXIII mRNA kaynağı olmadığını göstermektedir. BAL sıvısındaki FXIII protein miktarı SBP-AG öncesinde ELISA duyarlılığına yakındı ve alerjen zorlamasından sonra ~30 ng/ml'ye yükseldi (Şekil 1). SPB-Ag'den 48 s elde edilen BAL sıvısında, FXIII protein miktarı mRNA seviyeleri ile koreleydi (Ek Şekil 1). Albüminin toplam proteine oranı BAL sıvısında ve plazmada benzerdi (Ek Şekil 1). Buna karşılık, Bal sıvısındaki FXIII'in albümine oranının plazmadaki orandan farklılık göstermesi BAL sıvısında kandan ziyade FXIII eksprese eden hücrelerin FXII proteinin sağladığını önermektedir.
FXIII mRNA seviyesinin tip 2 immün yanıtı markörlerin ekspresyonu ve dendritic hücre ailesinin markörlerinin ekspresyonu ile korelasyonu vardır.
İlk balgam numunesi setinde (set 1) 23 astımlı gönüllü FXIII expresyonu, tip-2, tip-1 veya tip-17 immün tepkisi için çeşitli transkript kodlama ekspresyonu ve hücresel markörler için analiz edildi. Bu gönüllülerin özellikleri Ek Tablo 3'de gösterilmiştir. Tablo 1 FXIII mRNA seviyesinin tip-2 sitokin (IL-13) ve kemokin (CCL17/TARC), ve tip-2 sitokin (IL-4 ve IL-13) indüklenmiş membran proteini, CD23ß/FceRII ile korelasyonu olduğunu göstermektedir.
FXIII, plateletler ve monosit/makrofaj/dentritik hücre ailesi tarafından eksprese edilir. Bu nedenle bu hücre tiplerinin markörlerinin ekspresyonu FXIII ile ilişkisi açısından analiz edildi. Bir platelet markörü olan platelet faktörü 4'un (PF4) FXIII ekspresyonu ile korelasyonu yoktur (Tablo 1). Yüksek afiniteli immünoglobulin gamma Fc reseptörü 1 olan CD 64 ve antiinflamatuar mediatörler tarafından indüklenen (glukokortikoidler veya IL-10) ve pro-inflamatuar sitokinler tarafından baskılanan (IFN-y and TNF) CD163 31,32 monosit/makrofaj spesifik markörleridir. CD64 ve CD 163, FXIII ekspresyonu ile ilişkili değildir (Tablo 1). Bu bulgular alternatif olarak aktive edilen (M2) makrofajlar gibi kısıtlanmış ve spesifik bir monosit/makrofaj fenotipinin FXIII kaynağı olup olmadığının değerlendirmesine yol açtı. Dolayısıyla, CD163'e ilave olarak, CCL18 ekspresyonu MR makrofajların bir markörü olarak ölçüldü ve kullanıldı; CCL18, FXIII ile ilişki göstermedi (Tablo 1). Ancak hem olgunlaşmamış dendritik hücrelerin (DC) bir markörü olan CD209 (DC-SIGN, CLEC4L) hem de Langerhans hücreleri tarafından eksprese edilen CD 207 (CLEC4K)'nın FXIII ekspresyon seviyeleri ile yüksek korelasyona sahip olması (Tablo 1) DC ailesinin balgamda önemli bir FXIII kaynağı olabileceğini önermektedir.
Şiddetli olmayan vs şiddetli astımlı kişilerden alınan balgam numunelerinde FXIII ekspresyonu
Astım şiddeti ve pulmoner fonksiyonlar dahil astımın özelliklerine ilişkili olarak FXIII mRNA seviyelerinin ilave analizi için, ek 33 astımlı gönüllü (set 2) set 1'e eklendi. 56 astımlı hastanın özellikleri (34 şiddetli değil ve 22 şiddetli) Tablo 2’de açıklanmaktadır. Şidetli astımı olan hastalar daha yaşlıydı (p=0,0002) ve şiddetli olmayan astımlı gruba kıyasla azalmış pulmoner fonksiyonları vardı (FEVi % öngörülmüş, p=0,008). Atopi markörleri (IgE ve deri prick testi) ve balgam inflamasyonu (EOS ve nötrofiller) şiddetli ile şiddetli olmayan astımda benzerdi. Ayrıca 56 gönüllüden 23'ü kortikoid kullanmıyor veya düşük seviyelerde kullanıyorken 33 gönüllü orta ile yüksek seviyelerde kortikoid kullanıyordu ve bunlardan 22'sinde şiddetli astım vardı.
Medyan FXIII ekspresyon seviyesi şiddetli astımlılarda, şiddetli astımı ollmaya popülasyona göre ~3.5 kat daha fazlaydı (45 [13, 80] vs. 13 [7, 27], p=0,02; Ek Şekil 2A); ancak bu farkın bir bölümü şiddetli astımı olan grubun ortalamada daha yaşlı olması ile açıklanabilir çünkü yaşa göre düzeltilmiş FXIII gruplar arasında anlamlı bir farklılık göstermedi (p=0,23). Şiddetli ile şiddetli olmayan astım arasındaki ana farkın soluma yoluyla alınan kortikosteroid dozu olduğu dikkate alınarak, FXIII seviyelerinin günlük kortikosteroid dozlarına bağlı olup olmadığını analiz ettik. Gönüllüler , hiç (n=15) kortikoid almayan, düşük (n=8), orta ( n=11) veya yüksek (n=22) seviyede kortikoid alan bireylerden oluşan 4 gruba bölündü (Ek Şekil 2B). FXIII ile kortikosteroid dozu arasında anlamlı bir ilişki görülmedi (p=0,23).
FXIII ekspresyonu ve pulmoner fonksiyonlarının ölçümleri
Şiddetli astımlı gönüllülerin akciğer dokusunda fibrin birikmesi bulunduğu için ve FXIII substratları fibrin ve hava yolu yeniden modellemesinde önemli bir faktör 33 fibronektin içeriği için FXIII ekpresyon seviyesinin azalan akciğer fonksiyonu ile ilişkili olabileceğini düşündük. Tablo 3 FXIII ile FEV1/FVC % öngörülen (r= -0,42, p=0,001, n=56) ve daha az oranda FEV1 veya FEV1/FVC % ß-agonist sonrası öngörülen (FEV1/FVCMX PP) arasında ters korelasyon göstermektedir. FXIII'in ayrıca FEV1 'in ß-agoniste (r= 0,45, p=0,005) ve RV/TLC % öngörülene (r=0,37, p=0,008) reversibilitesi ile de korelasyonu vardır (Tablo 3). FXIII ile FEV1/FVC % öngörülen veya EV1 'in ß-agoniste reversibilitesi arasındaki ilişki grafik haline getirildi ve ve her bağımsız gönüllüden alınan değerlerin çizildiği Şekil 2'de gösterilmektedir.
Öngörülen pulmoner fonksiyonlar etnisite, boy, cinsiyet ve yaşı dikkate almaktadır 34,35. Ancak şiddetli vs şiddetli olmayan popülasyondaki yaş farkı nedeniyle (Tablo 2), yaşa göre ayarlamadan sonra FXIII , akciğer fizyoloji özellikleri ile korelasyon açısından da analiz edildi. Yaşa göre düzeltilmiş FXIII'in hala FEV1/FVC % öngörülen, % FEV1 'in ß-agoniste reversibilitesi ve RV/TLC % öngörülen ile korelasyonu vardı (Tablo 3). Bu veriler birlikte daha yüksek hava yolu FXII ekspresyonunun artan hava akışı kısıtlaması ve hava sıkışmasına yol açabileceğini önermektedir.
Sputum FXIII ekspresyonu ve bir tip-2 ortamı ile ilişkiler
Bu çalışmaya dahil edilen astımlı gönüllülerin çoğunluğu, alerjen duyarlılaştırması ile gösterildiği üzere alerjikti (Tablo 2) (test edilen 55 kişiden 47 pozitif deri prick testi). Ayrıca 56 astımlı gönüllüden 46'sında toplam kan IgE seviyeleri 30 IU/ml'nin üzerindeydi ve 51 balgam numunesinin 20'sinde > %1.5 EOS vardı.
Tablo 1'e göre (set 1) FXIII balgam numunelerindeki IL-13 ekspresyonu ile pozitif olarak ilişkiliydi (Tablo 4). Ayrıca FXIII'in toplam kan IgE, ve balgam veya kan EOS'u ile korelasyonu vardı (Tablo 4). Bunun aksine, makrofajlar FXIII ile ters korelasyona sahiptir (Tablo 4). FXIII ile balgam numunelerinde IL-13 mRNA seviyesi veya EOS yüzdesi arasındaki ilişki grafik haline getirildi ve her bağımsız gönüllüden alınan değerlerin çizildiği Şekil 3'de gösterilmektedir.
Yaşa göre düzeltmeden sonra FXIII, balgam ve kan EOS'u için bir eğilim ile IgE ve IL-13 ile anlamlı şekilde ilişkili kaldı (Tablo 4). Bu veriler hava yolu hücrelerinde FXIII ekspresyon seviyeleri ile astımda bir tip-2 ortamı arasında anlamlı bir ilişki göstermektedir
Tartışma
Koagülasyon serisi proteinlerinin , özellikle FXIII'in rolü astımda çoğunlukla bilinmemektedir. FXIII'in alerjene zorlamasından sonra hafif astımlı gönüllülerin hava yolunda yukarı doğru düzenlendiğini bulduk. Ayrıca, hafif ile şiddetli Astımlı hastaların balgamdaki FXIII ekspresyonunun, tip 2 immün tepkisi ve hava yolu obstrüksiyonu ile korelasyonu vardır. Sonuçlarımız FXIII'in astımda hava yolu obstrüksiyonunu (tıkanmasını) artıran moleküler mekanizmaların bir bileşeni olabileceğine işaret etmektedir. FXIII fibrin pıhtılarını stabilize eder, fibroblastlara bağlanır ve onları aktive eder ve kolajen stabilizasyonunu artırır 36-40, bunların hepsi yara iyileşmesi, doku onarımı ve yeniden modellemeye dahil olan mekanizmalardır. Ayrıca çalışmamız FXIII ekspresyonunun tip-2 immün tepkisi özellikle tip-2 sitokin (IL-13), kemokin (CCL17) ve tip-2-sitokin-tepkili gen (CD23ß) ile ilişkili olduğu hipotezini desteklemektedir. Bu sonuçlar IL-4 veya IL-13 aktive edilmiş monositler/makrofajlarda FXIII'ın yukarı yönde düzenlenmesini gösteren raporlar ile uyumludur
IL-4 veya IL-13 aktive edilmiş monositler/makrofajlara ilave olarak, IL-4 artı GM-CSF ile DC'nin farklılaştırılması da hücresel FXIII'yi indükler 41. FXIII protein, CD209 (DC-SIGN) ve CD 1 lb (ITGAM) [30 ve 42 incelenen] eksprese eden dermal DC'nin intraselüler bölümünde ve CD207 + Langerhans hücrelerine benzer şekilde antigen sunan hücreler olarak işlev gördüğü leishmaniasis cilt lezyonlarında bulunmuştur.
FXIII ekspresyonunun, CD209 ve CD207 transkript seviyeleri ile korelasyonu olduğunu bulduk ; bu da DC'nin astımlı gönüllülerde hava yolunda önemli bir FXIII kaynağı olabileceğini önermektedir. İnsan akciğerinde üç ana DC alt-seti bildirilmiştir 44,45 ancak bu DC alt setler tarafından CD209'un veya FXIII'in ekspresyonu bildirilmemiştir. FXIII ekspresyonu ile makrofajların varlığı veya makrofaj markörlerinin (CD163 veya CCL18) varlığı arasında ilişki eksikliği M2 veya tip-2 sitokin ile aktive edile makrofajların astımlı hastaların hava yollarında ana FXIII kaynağı olmayabileceğini önermektedir. Bu veriler, FXIII ekspresyonunun M2 makrofajların markörleri ile yüksek korelasyona sahip olduğu rino-sinüzitli hastalardaki nazal poliplerde bildirilen bulgulara zıttır. Ancak verilerimiz GM-CSF ve tip-2 sitokin, IL-4 kullanarak monositlerin DC'Y farklılaşması sırasında artan FXIII ekspresyonu bulan Jayo ve ark.'nin çalışması ile uyumludur. Gene de çalışmamız in vivo ve astımda tip-2 sitokinlerin , FXIII+ M2-makrofajlarından ziyade FXIII+ DC'nin farklılaştırılmasını ve/veya kullanılmasını destekleyebileceğini önermektedir. Cagnoni ve ark. yaptığı yakın tarihli bir çalışma DC'nin ölümcül astımlı vakaların büyük hava yollarındaki FXIII kaynağı olduğunu desteklemektedir. Ancak fibrinojen üretici hücreler olarak bilinen epitelyal hücreler gibi diğer hava yolu hücrelerinin de FXIII üretebileceğini yok sayamayız. Astımlı gönüllüerde hava yolu DC'de FXIII varlığı ve FXIII'in tam kaynağının daha fazla araştırılması gerekecektir.
Ektraselüler protein olarak fonksiyonun yanında, FXIII ayrıca intraselüler olarak fonksiyoneldir. Intraselüler FXIII (cFXIII) trombin eksikliğinde düşük Ca2+ konsantrasyonları ile aktive edilir 46. cFXIII 'in bilinen birçok intraselüler substratı vardır örneğin; aktin, miyosin, vinkulin, filamin, tip-1 angiotensin II reseptörü ile ilişkili protein ve tubulin 11. Bilinen hedefleri ve mikrofilamentler ile olan ilişkisi nedeniyle 47 hücresel sitoskeletal yeniden modellemedeki FXIII fonksiyonu bariz görünmektedir. Özellikle cFXIII Fey'e dahil edilmiş ve makrofajların fagositik aktivitelerini ve monositten türemiş DC'nin göçünün düzenlenmesini tamamlamış-aracılık etmiştir. Bu ikinci fonksiyonu önemlidir çünkü DC dokudan lenf nodüllerine geçer ve bu da adaptif immün tepkinin oluşmasında çok önemli bir adımdır. Cagnoni ve ark. FXIII+DC'nin, maruz kalan lenfoid hücreleri yeniden aktive ettikleri akciğer dokusunda kalmaya devam ettiğini önermektedir19. Bu nedenle DC tarafından
daha yüksek FXIII ekspresyonuna yol açan yüksek bir tip-2 ortam belirli bir alerjene yönelik immün tepkisini indükleyebilir veya artırabilir.
Kötüleşme yaşayan astımlı kişilerin hava yolu hücrelerindeki FXIII seviyeleri değerlendirilmemiştir. Ancak FXIII+ hücrelerin kullanımı ve/veya balgamda FXIII ekspresyonunu yukarı yönde düzenlenmesinin hava yolu obstrüksiyonu (FEV1/FVC ve RV/TLC) ve reversibilite ile korelasyonu olmasının balgamdaki FXIII ekspresyon seviyesinin astım semptomları ve kötüleşmesi ile zaman içinde değişebileceğine işaret eder. Hava akışının kısıtlanması, erken hava yolu kapanması/hava sıkışması ve bronkodilatörler ile eksik reversibilite şiddetli astımın özellikleridir 34ve periferik hava yollarında önemli bir işlev bozukluğuna işaret eder. FXII'in şiddetli astımın altındaki kortikosteroide refrakter süreçlerin bir biyomarkörü olduğu kanıtlanabilir.
İnsan gönüllülerden alınan çeşitli sıvılarda FXIII'ın ölçümü çok sayıda FXIII substratı ve kompleks protein agregatlarında bulunması nedeniyle güç olaiblir. Brims ve ark. 9astımlı gönüllülerden gelen balgamda FXIII'in ölçümüne ilişkin endişelerini belirtmiş ve FXIII'in ya dokuda fibrin tarafından yakalandığını veya nötrofil elastaz ile bozunduğunu önermiştir. Bu ikilem balgam numunelerindeki proteinden çok transkriptlerin ölçümünün uygunluğunu göstermektedir ancak ayrıca substrata bağlı FXIII'i tanıyacak antikorlar geliştirme ihtiyacına da işaret etmektedir. Bu güçlüğe rağmen SBP-Ag sonrasında BAL sıvısındaki FXIII proteinin miktarını ELISA kullanarak belirleyebildik ancak balgam numunelerindeki seviyeler kesin ölçümler yapamayacak kadar saptama seviyesine çok yakındı. Sputumda FXIII'in ölçülememesi bunun diğer proteinlere bağlandığına veya balgam numunelerinde yeterli şekilde FXIII birikmesi için astım semptomları veya kötüleşmesi gerektirdiğine işaret ediyor olabilir.
Sonuç olarak, astımlı gönüllülerde FXIII ekspresyonunu analiz ettik ve hafif astımlı hastalarda hava yolu FXIII üretiminin in vivo alerjen zorlaması ile yukarı doğru düzenlendiğini gösterdik. Ayrıca hafif -şiddetli astımda balgam numunelerindeki FXII ekspresyonunun DC markörleri, tip-2 ortam ve hava yolunun kısıtlanması ile korelasyonu vardır. Bu bulgular FXIII'in astım patolojisine ve hastalık şiddetine potansiyel katkısını önermektedir.
Kısaltmalar
BAL bronkoalveolar lavaj
DC Dendritik hücreler
EOS Eozinofiller
FXIII koagülasyon faktörü XIII
FEV1 1 saniyedeki zorlu ekspiratuvar hacim
FVC zorlanmış vital kapasite
ICS Solunan Kortikosteroidler
RV kalıntı hacmi
SARP Şiddetli Astım Araştırma Programı
SBP-Ag alerjen ile segmental bronko-provokasyon
TLC toplam akciğer kapasitesi.
Şekil 1. FXIII transkript ve protein alerjen ile segmental bronko-provokasyon (SBP-Ag) sonrasında BAL'da artmıştır
FXIII mRNA seviyesi, SBP Ag'den 48 saat önce ve sonra parçalanmamış BAL hücrelerinde ve SBP-Ag'den 48 saat sonra saflaştırılmış BAL EOS'da RT-qPCR ile analiz edildi. Semboller münferit gönüllülerin verilerini göstermektedir ve kutu çizimler 6 tanesinin çok saflaştırılmış EOS'u olan (>%95) 7 gönüllüden gelen karma verilerdir. SBP-Ag öncesi ve sonrası BAL sıvısındaki B/FXIII proteini ELISA ile analiz edildi. Kutu çizimler 7 gönüllü için 25. ve 75. persentil arasındaki medyan ve kartiller arasını göstermektedir.

Şekil 2. FXIII mRNA ekspresyonunun Fav1 % öngörülenin ß-agoniste % reversibilitesi, FEV1/FVC % öngörülen ile korelasyonu vardır.
Tablo 3'de tanımlanan korelasyonlardan bazıları şiddetli olmayanlar (n=34) mavi daire ve şiddetli astımlı gönüllüler (n=22) kırmızı üçgen şeklinde gösterilmiştir.

Şiddetli olmayan Şiddetli
Şekil 3. FXIII mRNA ekspresyonunun IL-13 mRNA seviyeleri ve sputumdaki EOS yüzdesi ile korelasyonu vardır
Tablo 4'de tanımlanan korelasyonlardan bazıları mavi daire olarak gösterilen şiddetli olmayan (n=34) ve kırmızı üçgen olarak gösterilen şiddetli astımlı gönüllüler (n=22) ile grafik haline getirilmiştir.

Şiddetli olmayan Şiddetli
Tablo 1
Sputum FXIII mRNA seviyesinin tip 2 immün yanıtı markörlerin ekspresyonu ve dendritic hücre ailesinin ekspresyonu ile korelasyonu vardır, n=23 (set 1).
|
|
r
|
P değeri
|
|
IL-13 mRNA
|
0,48
|
0,02
|
|
CCL17 mRNA
|
0,68
|
0,0005
|
|
IFN-y mRNA
|
0,23
|
0,30
|
|
IL-17 mRNA
|
0,21
|
0,35
|
|
CD23ß mRNA
|
0,79
|
< 0,0001
|
|
PF4 mRNA
|
-0,04
|
0,84
|
|
CD64 mRNA
|
0,15
|
0,49
|
|
CD 163 mRNA
|
-0,08
|
0,72
|
|
CCL18 mRNA
|
0,15
|
0,51
|
|
CD209 mRNA
|
0,68
|
0,0005
|
|
CD207 mRNA
|
0,55
|
0,008
|
|
Gönüllülerin özellikleri, n=56
|
Tablo 2
|
|
|
|
|
Şiddetli olmayan n=34
|
Şiddetli 11 = 22
|
P
|
|
Yaş
|
24 [21, 36]
|
46 [39, 53]
|
0,0002
|
|
Cinsiyet (kadın/erkek)
|
15/19
|
11/11
|
0,67
|
|
Beyaz ırk
|
%79 (3AA, 2H, lAsA, INtA)
|
%82 (4AA)
|
0,82
|
|
FEV1 PP
|
86 [75, 99]
|
71 [61, 94]
|
0,008
|
|
% reversibilite FEV1 PP
|
11 [7,20]
|
14 [6, 26]
|
0.48
|
|
FEV1/FVC PP
|
90 [81, 98]
|
85 [74, 94]
|
0,15
|
|
Kortikoid alım seviyesi (hiç/düşük/orta/yüksek)
|
15/8/10/1
|
0/0/1/21
|
< 0,0001
|
|
IgE (IU/ml)
|
100 [38, 288]
|
117 [36, 405]
|
0,97
|
|
Cilt prick testi +
|
%91
|
%76
|
0,13
|
|
Sputum eozinofiller %
|
0,8 [0,1, 2,4],n=31
|
0,7 [0,0, 5,3], n=18
|
0,92
|
|
Sputum nötrofiller %
|
44 [29, 60], n=31
|
58 [43, 76],n=18
|
0,11
|
Medyan [25., 75.]
AA, Afrikalı Amerikalı; H, Hispanik ; As A. Asyalı Amerikalı; NtA, Yerli Amerikalı ; FEVj1 saniyedeki zorlanmış ekspiratuvar hacim; FVC, zorlanmış vital kapasite; % reversibilite, ß-agonist sonrası reversibilite; PP, % öngörülen.
P değerleri (ilişki için Wilcoxon Sıra toplamı Testi veya ki kare testi ) <0,05 şiddetli olmayan ile şiddetli gruplar arasındaki istatiksel olarak anlamlı farklılıklara işaret eder.
|
Tablo 3
Sputum FXII mRNA seviyesinin astımda pulmoner fonksiyonlarla korelasyonu vardır, n=56
|
|
|
FXIII düzeltme yok
|
FXIII yaşa göre düzeltilmiş |
|
|
n
|
r
|
p-değeri
|
r
|
p-değeri
|
|
% reversibilite FEV1 PP
|
56
|
0,45
|
0,0005
|
0,39
|
0,003
|
|
FEV1/FVC PP
|
56
|
-0,42
|
0,001
|
0,35
|
0,008
|
|
RV/TLC PP
|
51
|
0,37
|
0,008
|
0,36
|
0,01
|
| FEV1/FVCMX PP |
56
|
0,30
|
0,02
|
-0,21
|
0,11
|
|
FEV1 PP
|
56
|
0,30
|
0,03
|
-0,20
|
0,15
|
% reversibilite; ß-agonisti sonrasında reversibilite; FEVj,1 saniyedeki zorlanmış ekspiratuvar hacim; FVC, zorlanmış vital kapasite; MX, ß-agonist sonrası maksimum; PP, öngörülen yüzde; RV, kalıntı hacim; TLC, toplam akciğer kapasitesi.
Tablo 4
FXIII mRNA seviyesi bir tip-2 ortamının özellikleri ile ilişkilidir, n=56
|
|
|
FXIII düzeltme yok
|
FXIII yaşa göre düzeltilmiş
|
| n |
r
|
p-değeri
|
r
|
p-değeri
|
|
Toplam kan IgE
|
56
|
0,28
|
0,04
|
0,35
|
0,009
|
|
Sputum IL-13 mRNA
|
55
|
0,62
|
< 0,0001
|
0,56
|
< 0,0001
|
|
Sputum % EOS
|
49
|
0,37
|
0,008
|
0,24
|
0,10
|
|
Sputum PMN %
|
49
|
0,24
|
0,10
|
0,22
|
0,12
|
|
Sputum MAC %
|
49
|
0,44
|
0,001
|
0,40
|
0,005
|
|
Kan EOS %
|
56
|
0,29
|
0,03
|
0,24
|
0,08
|
|
EOS, eozinofiller; MAC, makrofajlar; PMN, nötrofiller
|
|
Çevrilen makale :
J Allergy Clin Immunol. Author manuscript; available in PMC 2017 Mar 1.
J Allergy Clin Immunol. 2016 Mar; 137(3): 767–73.e6.
Published online 2015 Oct 30. doi: 10.1016/j.jaci.2015.05.053
Airway Factor XIII associates with type-2 inflammation and airway obstruction in asthma
Stephane Esnault, PhD,1 Elizabeth A. Kelly, PhD,1 Ronald L. Sorkness, PhD,2 Michael D. Evans, MS,3 William W. Busse, MD,1 and Nizar N. Jarjour, MD.1,*
Author information ► Copyright and License informationü
REFERENCES


